BIPM Time Department FTP server

Index of /ftp/pub/tai/timelinks/lkc/2602/plptb/lnk

Icon  Name                                   Last modified      Size  Description
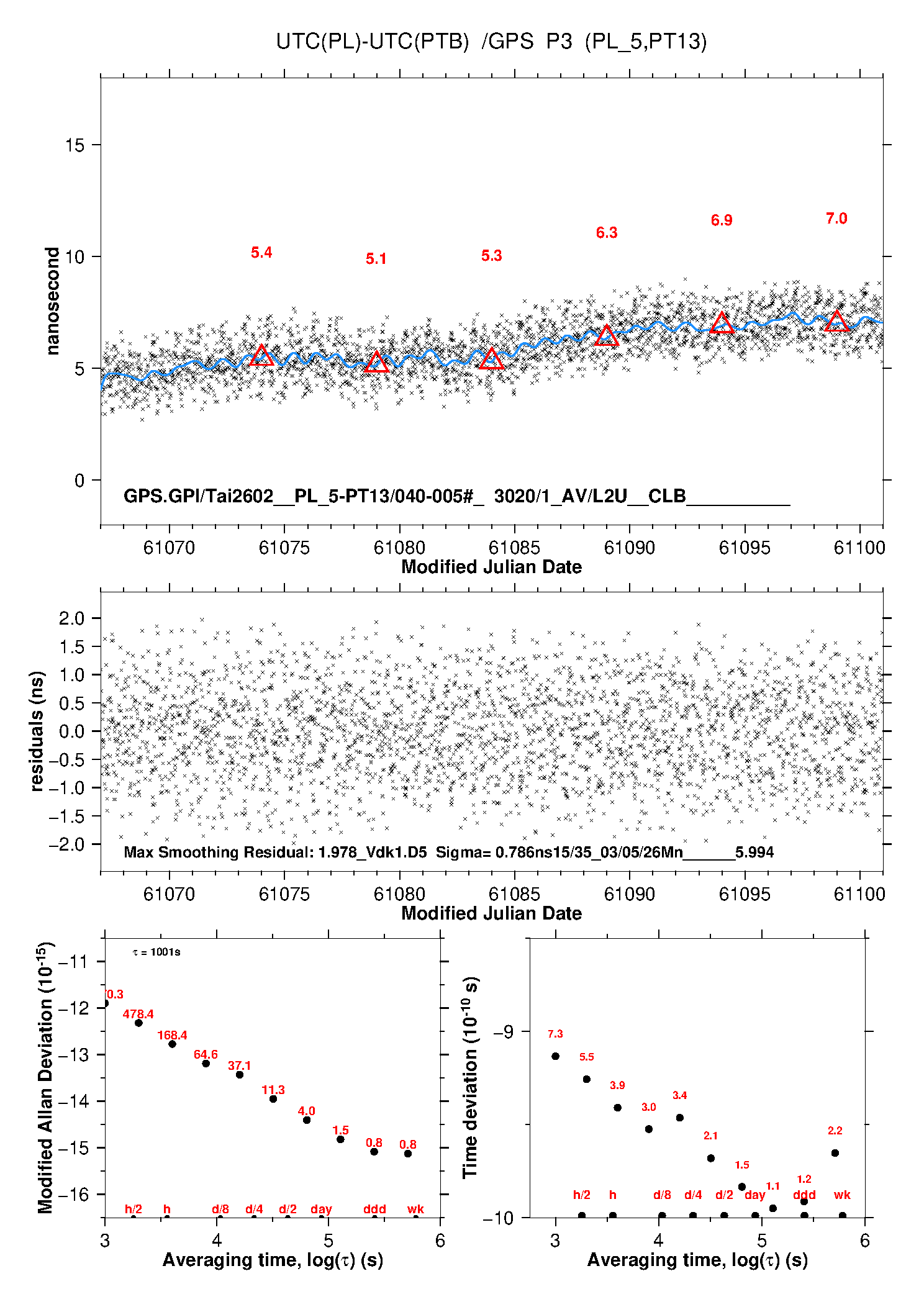
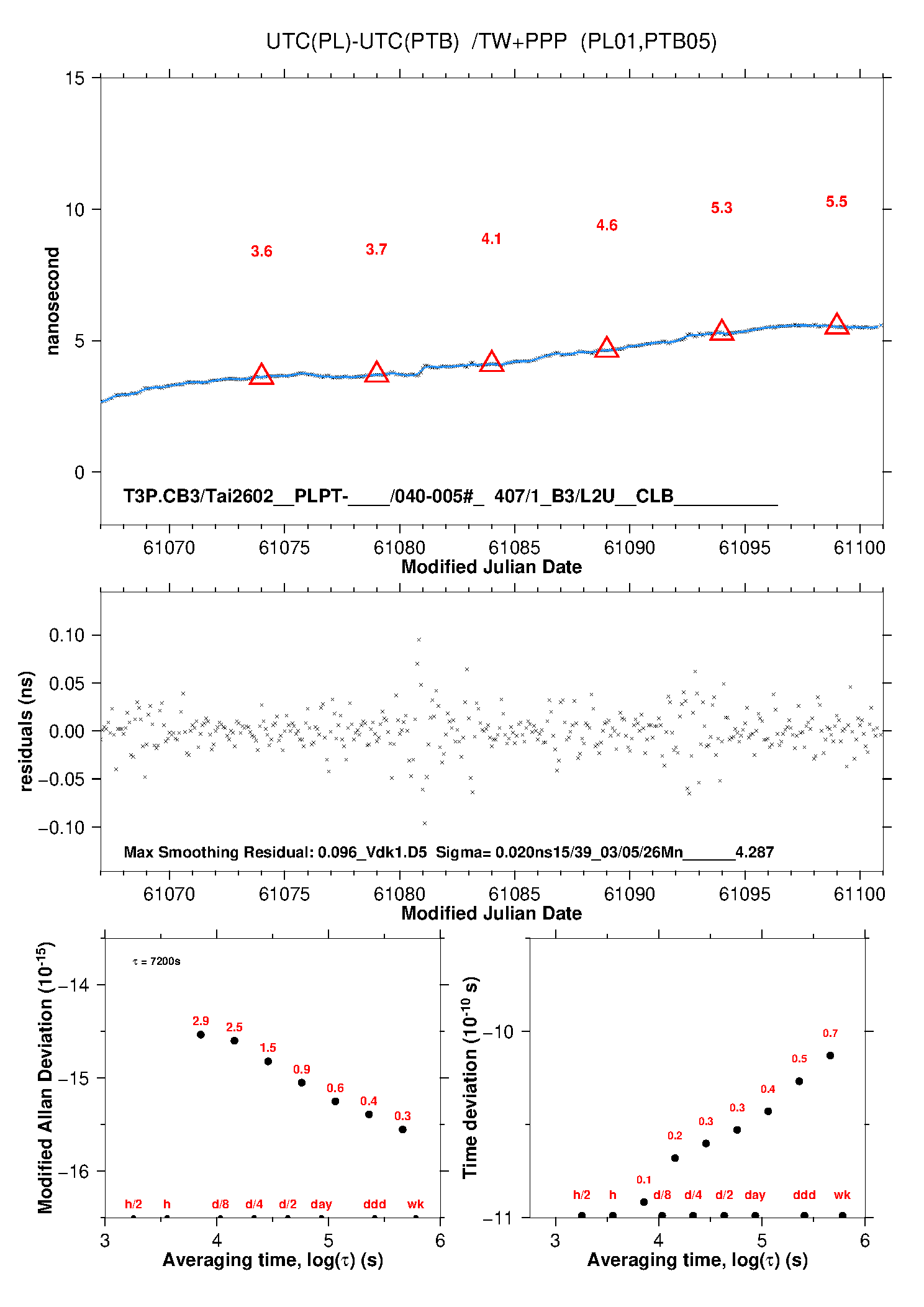
[PARENTDIR] Parent Directory - Time links [   ] pl_5pt13.333a_.dat 2026-03-11 12:36 450K GPS PPP [IMG] pl_5pt13.333a_.gif 2026-03-11 12:36 58K GPS PPP [   ] pl_5pt13.pppa_.dat 2026-03-11 12:36 143K GPS P3 [IMG] pl_5pt13.pppa_.gif 2026-03-11 12:36 74K GPS P3 [IMG] plptb.333a_.gif 2026-03-11 12:36 58K GPS PPP [   ] plptb.t3b3_.dat 2026-03-11 12:36 21K TWSTFT+PPP [IMG] plptb.t3b3_.gif 2026-03-11 12:36 42K TWSTFT+PPP [   ] plptb.tttt_.dat 2026-03-11 12:36 19K TWSTFT [IMG] plptb.tttt_.gif 2026-03-11 12:36 39K TWSTFT