BIPM Time Department FTP server

Index of /ftp/pub/tai/timelinks/lkc/2602/ntscptb/lnk

Icon  Name                                     Last modified      Size  Description
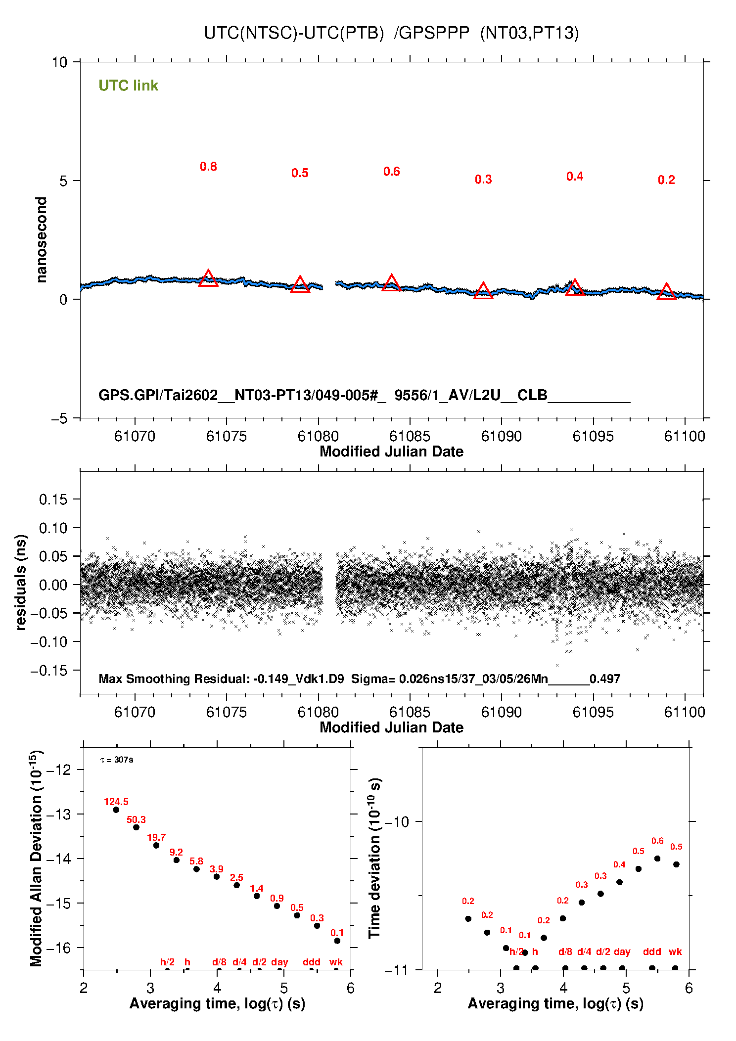
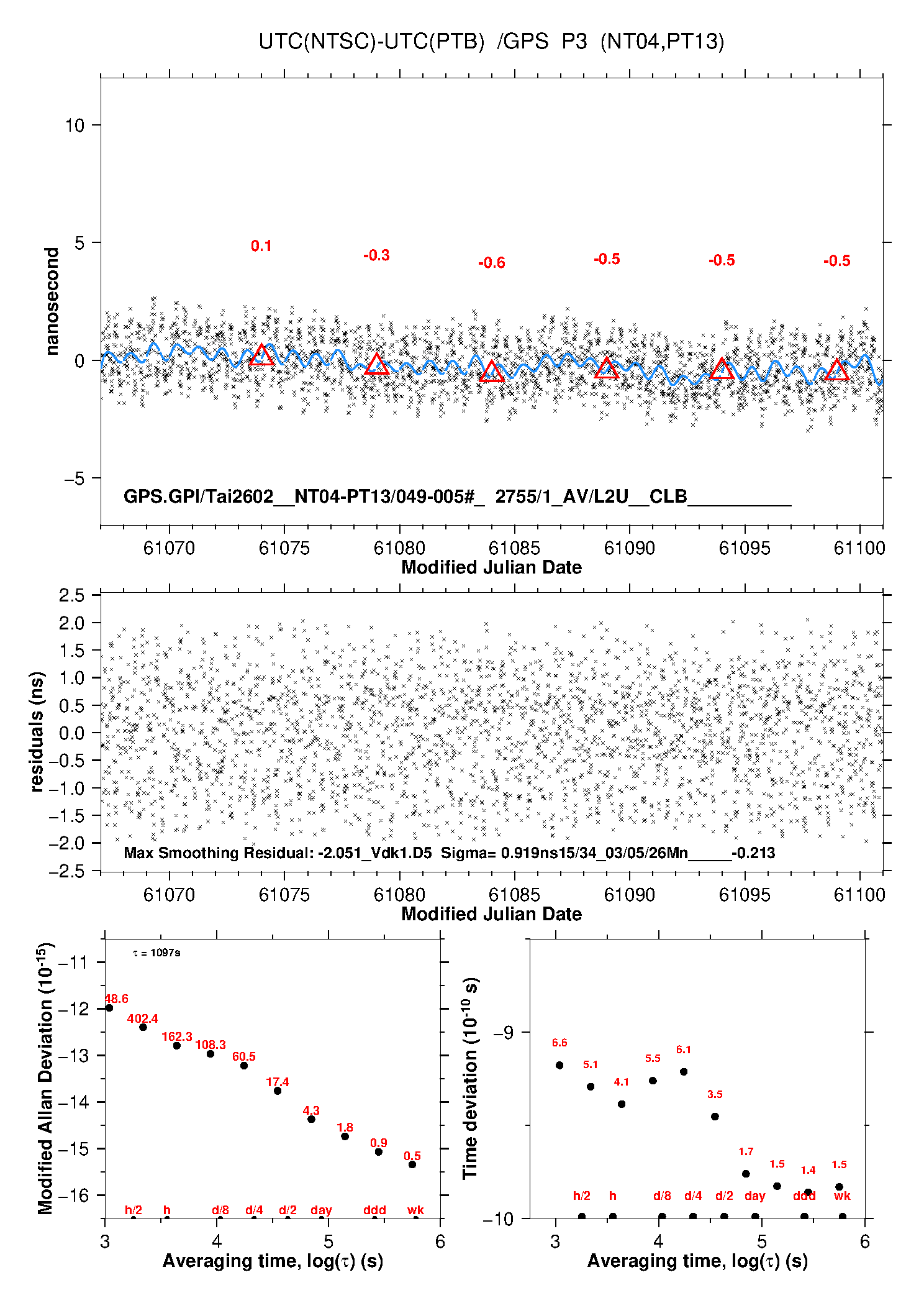
[PARENTDIR] Parent Directory - Time links [   ] nt03pt13.333a_.dat 2026-03-11 12:35 450K GPS PPP [IMG] nt03pt13.333a_.gif 2026-03-11 12:35 65K GPS PPP [   ] nt03pt13.pppa_.dat 2026-03-11 12:35 136K GPS P3 [IMG] nt03pt13.pppa_.gif 2026-03-11 12:35 74K GPS P3 [   ] nt04pt13.333a_.dat 2026-03-11 12:35 449K GPS PPP [IMG] nt04pt13.333a_.gif 2026-03-11 12:35 63K GPS PPP [   ] nt04pt13.pppa_.dat 2026-03-11 12:35 131K GPS P3 [IMG] nt04pt13.pppa_.gif 2026-03-11 12:35 75K GPS P3 [   ] nt05pt13.333a_.dat 2026-03-11 12:35 450K GPS PPP [IMG] nt05pt13.333a_.gif 2026-03-11 12:35 55K GPS PPP [   ] nt05pt13.eeea_.dat 2026-03-11 12:35 141K GALILEO P3 [IMG] nt05pt13.eeea_.gif 2026-03-11 12:35 69K GALILEO P3 [   ] nt05pt13.pppa_.dat 2026-03-11 12:35 137K GPS P3 [IMG] nt05pt13.pppa_.gif 2026-03-11 12:35 75K GPS P3 [IMG] ntscptb.333a_.gif 2026-03-11 12:35 65K GPS PPP [   ] ntscptb.tttt_.dat 2026-03-11 12:35 84K TWSTFT [IMG] ntscptb.tttt_.gif 2026-03-11 12:35 49K TWSTFT [   ] ntscptb.tttts.dat 2026-03-11 12:35 501K TWSTFT SDR [IMG] ntscptb.tttts.gif 2026-03-11 12:35 51K TWSTFT SDR