BIPM Time Department FTP server
Index of /ftp/pub/tai/timelinks/lkc/2511/vslptb/lnk
Name Last modified Size Description
Parent Directory - Time links
vs06pt13.333a_.dat 2025-12-11 13:50 407K GPS PPP
vs06pt13.333a_.gif 2025-12-11 13:50 59K GPS PPP
vs06pt13.eeea_.dat 2025-12-11 13:50 145K GALILEO P3
vs06pt13.eeea_.gif 2025-12-11 13:50 69K GALILEO P3
vs06pt13.pppa_.dat 2025-12-11 13:50 145K GPS P3
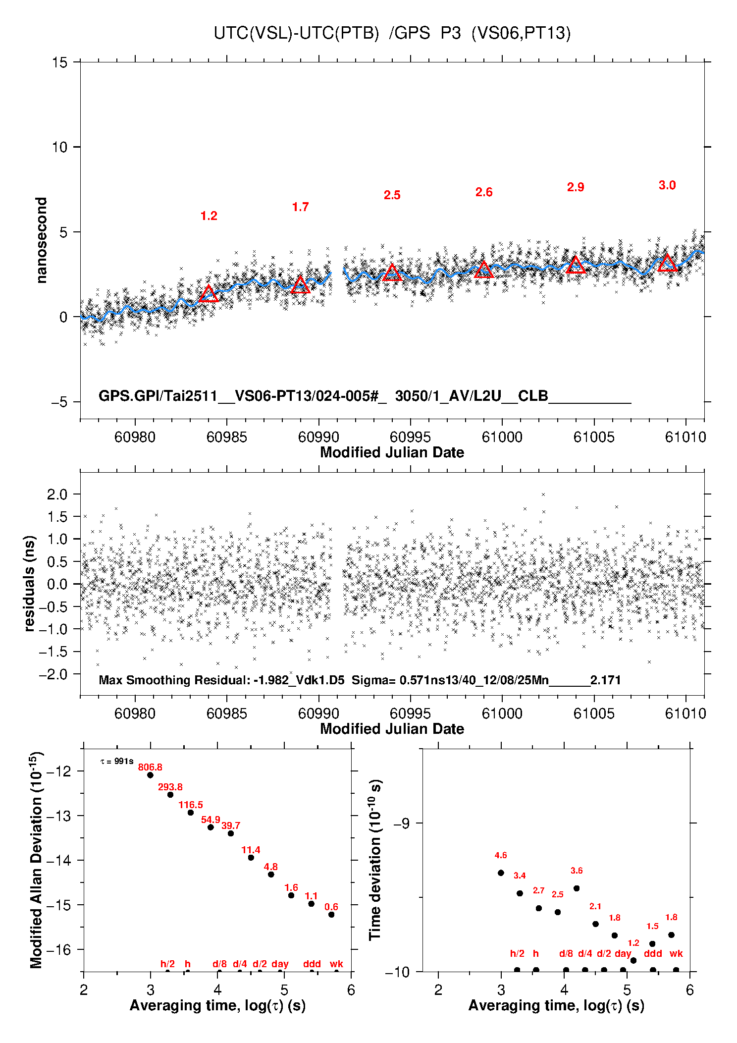
vs06pt13.pppa_.gif 2025-12-11 13:50 70K GPS P3
vslptb.t3b3_.dat 2025-12-11 13:50 21K TWSTFT+PPP
vslptb.t3b3_.gif 2025-12-11 13:50 44K TWSTFT+PPP
vslptb.tttt_.dat 2025-12-11 13:50 49K TWSTFT
vslptb.tttt_.gif 2025-12-11 13:50 43K TWSTFT