![]() | CIRCULAR T 458 | ![]() | ISSN 1143-1393
| |
| 2026 MARCH 11, 12h UTC | ||||
| BUREAU INTERNATIONAL DES POIDS ET MESURES | ||||
| THE INTERGOVERNMENTAL ORGANIZATION ESTABLISHED BY THE METRE CONVENTION | ||||
| PAVILLON DE BRETEUIL F-92312 SEVRES CEDEX TEL. +33 1 45 07 70 70 tai@bipm.org | ||||
1 - Difference between UTC and its local realizations UTC(k) and corresponding uncertainties.
From 2017 January 1, 0h UTC, TAI-UTC = 37 s.
| Date 2026 0h UTC | JAN 29 | FEB 3 | FEB 8 | FEB 13 | FEB 18 | FEB 23 | FEB 28 | Uncertainty/ns | Notes | |||||
| MJD | 61069 | 61074 | 61079 | 61084 | 61089 | 61094 | 61099 | uA | uB | u | ||||
| Laboratory k | [UTC-UTC(k)]/ns | |||||||||||||
| AGGO | (La Plata) | | | 319.5 | 320.1 | 320.4 | 323.7 | 320.3 | 318.2 | 312.4 | 0.7 | 3.1 | 3.2 | |
| AOS | (Borowiec) | | | 0.8 | 0.7 | 0.5 | 1.0 | 1.1 | 3.6 | 1.6 | 0.2 | 2.8 | 2.8 | |
| APL | (Laurel) | | | 0.8 | 0.8 | 0.9 | 0.7 | 0.2 | -0.3 | -0.6 | 0.2 | NC | - | |
| AUS | (Sydney) | | | -21.3 | -28.4 | -22.0 | -11.8 | -1.2 | 4.0 | -1.3 | 0.2 | 3.1 | 3.1 | |
| AZ | (Baku) | | | 584.0 | 601.7 | 621.2 | 639.5 | 652.4 | 663.0 | 675.4 | 0.2 | 7.1 | 7.1 | |
| BEV | (Wien) | | | 5.6 | 7.8 | 0.8 | -8.4 | -9.9 | -12.5 | 1.6 | 0.2 | 3.1 | 3.1 | |
| BFKH | (Budapest) | | | - | - | - | 5015.3 | 5062.2 | 5107.3 | 5146.0 | 1.5 | 7.3 | 7.4 | |
| BIM | (Sofiya) | | | 6458.1 | 6255.8 | 6314.0 | 6359.7 | 6406.1 | 6452.3 | 6507.0 | 0.2 | 2.8 | 2.8 | |
| BIRM | (Beijing) | | | -0.2 | -0.9 | -0.8 | -0.7 | -0.3 | -0.6 | 0.8 | 0.5 | 3.6 | 3.6 | |
| BSJ | (Kingston) | | | 14.4 | 11.7 | 13.3 | 20.3 | 21.2 | 20.8 | 26.9 | 7.0 | NC | - | |
| BY | (Minsk) | | | 1.5 | 0.5 | 0.6 | 0.4 | -0.1 | -0.4 | -1.1 | 1.5 | 3.3 | 3.6 | |
| CAO | (Cagliari) | | | - | - | - | - | - | - | - | ||||
| CH | (Bern-Wabern) | | | 0.2 | 0.3 | 0.2 | 0.3 | 0.4 | 0.6 | 0.4 | 0.2 | 1.2 | 1.2 | |
| CNES | (Toulouse) | | | -0.2 | -0.0 | -0.4 | -0.6 | -0.7 | -0.7 | -1.2 | 0.2 | 2.8 | 2.8 | |
| CNM | (Queretaro) | | | -0.0 | 1.3 | 0.2 | 0.8 | -0.4 | -1.1 | -0.5 | 3.0 | 4.5 | 5.4 | |
| CNMP | (Panama) | | | 4.1 | 2.4 | 2.4 | 15.1 | -17.0 | -9.1 | -5.0 | 0.2 | 5.6 | 5.6 | |
| DFM | (Horsholm) | | | -43.3 | -47.3 | -51.4 | -55.8 | -60.3 | -65.5 | -71.1 | 0.2 | 2.9 | 2.9 | |
| DFNT | (Tunis) | | | -169.5 | -241.0 | -315.9 | -395.8 | -472.5 | -555.7 | -625.6 | 0.7 | 2.8 | 2.9 | |
| DLR | (Oberpfaffenhofen) | | | -0.1 | 0.4 | -0.1 | -0.5 | -0.9 | -0.3 | 0.1 | 0.2 | 2.8 | 2.8 | |
| DMDM | (Belgrade) | | | -30.6 | -26.1 | -11.3 | -2.1 | 1.5 | -4.0 | -2.5 | 0.2 | 7.5 | 7.5 | |
| DTAG | (Frankfurt/M) | | | 39.4 | 32.8 | 29.9 | 33.3 | 38.5 | 47.6 | 46.6 | 0.2 | 2.8 | 2.8 | |
| ESA | (Noordwijk) | | | -1.3 | -0.5 | 0.0 | 0.5 | -0.2 | 0.6 | -1.1 | 0.2 | 2.8 | 2.8 | |
| HKO | (Hong Kong) | | | 843.4 | 861.2 | 881.9 | 901.7 | 920.9 | 935.9 | 961.3 | 0.2 | 3.8 | 3.8 | |
| IBM | (La Paz) | | | 57.1 | 56.1 | 51.8 | 43.1 | 28.9 | 25.1 | 25.8 | 4.0 | 7.7 | 8.7 | |
| ICE | (San Jose) | | | 65.8 | 67.4 | 46.4 | 48.7 | 49.7 | 54.7 | 57.1 | 0.2 | 7.1 | 7.1 | |
| IDN | (Serpong-Tangerang) | | | 5771.2 | 5919.2 | 6063.3 | 6212.7 | 6358.9 | 6510.9 | 6666.4 | 0.2 | NC | - | |
| IFAG | (Wettzell) | | | -874.4 | -886.6 | -898.3 | -923.7 | -933.6 | -949.5 | -939.5 | 0.2 | 2.8 | 2.8 | |
| IFZG | (Zagreb) | | | 314.0 | 309.5 | 296.9 | 294.4 | 289.6 | 285.2 | 284.7 | 0.2 | 2.8 | 2.8 | |
| IMBH | (Sarajevo) | | | 0.5 | 2.7 | 5.8 | 3.2 | 0.4 | 3.4 | 3.3 | 0.2 | 3.0 | 3.0 | |
| INCP | (Lima) | | | 17.0 | 45.7 | 41.8 | 34.0 | 50.1 | 45.0 | 46.2 | 5.0 | 4.1 | 6.5 | |
| INM | (Bogota D.C.) | | | -31.5 | -42.2 | -33.4 | -39.7 | -29.8 | -15.3 | -26.1 | 3.0 | 4.1 | 5.1 | |
| INPL | (Jerusalem) | | | -13.4 | -9.8 | -20.3 | -20.6 | -26.8 | -20.8 | -20.7 | 0.2 | 7.7 | 7.7 | |
| INTI | (Buenos Aires) | | | -137.7 | -143.4 | -147.4 | -150.0 | -151.6 | -152.9 | -159.5 | 0.2 | 3.4 | 3.4 | |
| INXE | (Rio de Janeiro) | | | -1.5 | 16.5 | 1.1 | 9.1 | -2.8 | 6.0 | -2.4 | 0.7 | 3.5 | 3.6 | |
| IPQ | (Caparica) | | | 13.4 | -9.7 | -45.7 | -85.3 | -119.5 | - | -214.4 | 0.7 | 3.2 | 3.3 | |
| IT | (Torino) | | | 1.9 | 1.6 | 0.9 | 0.6 | 0.0 | -0.4 | -0.9 | 0.2 | 1.2 | 1.2 | |
| JATC | (Lintong) | | | -1.1 | -1.1 | -0.9 | -0.8 | -0.7 | -0.2 | 0.1 | 0.2 | 3.8 | 3.8 | |
| JV | (Kjeller) | | | 2.6 | 1.6 | 1.0 | 1.2 | 1.6 | 2.3 | 1.7 | 0.2 | 5.0 | 5.0 | |
| KRIS | (Daejeon) | | | 1.1 | 0.7 | 0.5 | -0.2 | -0.3 | -0.5 | -0.9 | 0.2 | 3.2 | 3.2 | |
| KZ | (Astana) | | | -2.7 | 1.1 | 2.8 | 3.3 | 3.5 | 3.2 | 3.8 | 0.7 | 4.4 | 4.5 | |
| LRTE | (Sao Carlos) | | | 1.3 | 0.4 | -6.6 | 0.8 | -1.0 | 3.5 | -1.6 | 0.7 | 3.7 | 3.8 | |
| LT | (Vilnius) | | | 1340.5 | 1352.3 | 1356.4 | 1356.8 | 1360.0 | 1373.7 | 1384.5 | 0.2 | 2.8 | 2.8 | |
| LUX | (Belvaux) | | | 11.3 | 9.9 | 10.0 | 14.3 | 19.2 | 34.5 | 14.0 | 0.5 | 2.8 | 2.8 | |
| MASM | (Bayanzurkh) | | | - | - | - | - | - | - | - | ||||
| MBM | (Podgorica) | | | 4310.4 | 4341.5 | 4376.8 | 4400.2 | 4396.6 | 4433.6 | 4451.8 | 0.2 | 3.1 | 3.1 | |
| MIKE | (Espoo) | | | -9.2 | -13.2 | -11.6 | -7.4 | -4.6 | -0.8 | 0.7 | 0.2 | 2.8 | 2.8 | |
| MSL | (Lower Hutt) | | | 40.5 | 16.6 | 12.0 | 14.4 | 4.8 | -1.5 | -13.1 | 0.7 | 3.1 | 3.2 | |
| MTC | (Makkah) | | | - | -2.9 | 6.9 | 10.7 | 11.3 | 21.4 | 26.9 | 0.2 | 69.7 | 69.7 | |
| NAO | (Mizusawa) | | | 3952.2 | 4012.9 | 4065.0 | 4113.0 | 4164.0 | 4230.5 | 4294.9 | 2.0 | 3.9 | 4.4 | |
| NICT | (Tokyo) | | | 2.2 | 2.2 | 1.0 | 0.2 | 0.1 | 0.2 | 0.1 | 0.2 | 2.1 | 2.1 | |
| NIM | (Beijing) | | | -0.6 | -0.5 | -0.3 | -0.4 | -0.3 | -0.3 | 0.0 | 0.2 | 2.2 | 2.2 | |
| NIMB | (Bucharest) | | | - | - | - | - | - | - | - | ||||
| NIMT | (Pathumthani) | | | 8.0 | -2.0 | -3.7 | -9.3 | 7.7 | 2.1 | 13.1 | 0.4 | 3.1 | 3.1 | |
| NIS | (Cairo) | | | -197.3 | -196.0 | -181.6 | -168.2 | -160.7 | -148.0 | -133.8 | 0.7 | 7.3 | 7.3 | |
| NIST | (Boulder) | | | -1.0 | 0.3 | 0.9 | 1.2 | 1.3 | 1.3 | 0.2 | 0.2 | 2.0 | 2.0 | |
| NMIJ | (Tsukuba) | | | -0.9 | -0.9 | -0.7 | -0.6 | -0.3 | 0.3 | 0.9 | 0.2 | 3.0 | 3.0 | |
| NMLS | (Sepang) | | | 70.3 | 24.0 | -23.1 | -78.8 | -141.7 | -197.8 | -216.9 | 0.2 | 2.9 | 2.9 | |
| NPL | (Teddington) | | | 1.1 | -2.7 | -0.5 | 0.3 | 0.4 | -1.0 | -1.7 | 0.2 | 1.2 | 1.2 | |
| NPLI | (New-Delhi) | | | -1.6 | -1.9 | -2.0 | -1.8 | -1.7 | -1.5 | -1.3 | 0.2 | 2.8 | 2.8 | |
| NRC | (Ottawa) | | | -1.2 | -1.6 | -2.5 | -3.0 | -3.4 | -3.2 | -3.1 | 0.2 | 2.8 | 2.8 | |
| NRL | (Washington DC) | | | - | - | - | - | - | - | - | ||||
| NSAI | (Dublin) | | | -24.6 | -18.3 | -15.5 | -6.4 | -0.2 | 7.9 | 14.9 | 0.2 | 7.4 | 7.4 | |
| NTSC | (Lintong) | | | 0.2 | 0.3 | 0.5 | 0.6 | 0.7 | 0.7 | 0.8 | 0.2 | 3.7 | 3.7 | |
| ONBA | (Buenos Aires) | | | 3283.3 | 3314.9 | 3354.3 | 3376.3 | 3392.7 | 3431.8 | 3431.6 | 2.0 | 3.4 | 3.9 | |
| ONRJ | (Rio de Janeiro) | | | 0.7 | 0.1 | 0.1 | -1.7 | -2.6 | 2.5 | -1.4 | 0.2 | 3.4 | 3.4 | |
| OP | (Paris) | | | 0.4 | 0.2 | 0.2 | 0.0 | -0.3 | -0.2 | -0.3 | 0.2 | 1.2 | 1.2 | |
| ORB | (Bruxelles) | | | 0.9 | 0.8 | 0.4 | 0.1 | -0.2 | -0.2 | 0.0 | 0.2 | 2.8 | 2.8 | |
| PL | (Warszawa) | | | -4.2 | -4.5 | -4.7 | -4.9 | -5.8 | -6.3 | -6.5 | 0.2 | 2.8 | 2.8 | |
| PTB | (Braunschweig) | | | 1.1 | 1.1 | 1.0 | 1.2 | 1.0 | 1.1 | 1.0 | 0.2 | 1.2 | 1.2 | |
| ROA | (San Fernando) | | | 4.1 | 2.6 | 0.7 | 0.0 | 2.5 | 0.6 | 0.1 | 0.2 | 1.2 | 1.2 | |
| SASO | (Riyadh) | | | 896.7 | 895.4 | 893.2 | 889.5 | 889.8 | 883.4 | 881.2 | 0.4 | 3.9 | 3.9 | |
| SCL | (Hong Kong) | | | 7.8 | 4.5 | -1.7 | 1.2 | -2.1 | -4.1 | -4.6 | 0.2 | 3.8 | 3.8 | |
| SG | (Singapore) | | | 5.0 | -0.6 | 7.5 | 5.8 | 6.2 | -1.0 | -8.2 | 0.2 | 2.8 | 2.8 | |
| SIQ | (Ljubljana) | | | 1533.0 | 1539.3 | 1525.2 | 1521.3 | 1518.8 | 1519.2 | 1514.4 | 0.2 | 4.3 | 4.3 | |
| SMD | (Bruxelles) | | | 1.9 | 1.9 | 1.7 | 1.5 | 0.8 | 0.6 | -0.1 | 0.2 | 4.6 | 4.6 | |
| SMU | (Bratislava) | | | 280.2 | 246.2 | 203.0 | 182.2 | 204.0 | 214.4 | 160.5 | 1.5 | 6.2 | 6.4 | |
| SP | (Boras) | | | 1.5 | 0.9 | 2.1 | 2.3 | 2.9 | 2.5 | 0.2 | 0.2 | 1.2 | 1.2 | |
| SU | (Moskva) | | | 1.2 | 1.1 | 0.5 | 0.5 | 0.3 | 0.3 | 0.1 | 0.2 | 2.5 | 2.5 | |
| TL | (Chung-Li) | | | 0.2 | 1.8 | 2.7 | 2.4 | 2.9 | 3.8 | 2.2 | 0.2 | 2.1 | 2.1 | |
| TP | (Praha) | | | -15.2 | -12.7 | -7.1 | -0.9 | -0.2 | -1.5 | 5.2 | 0.2 | 3.2 | 3.2 | |
| UA | (Kharkiv) | | | -4.4 | - | - | -10.0 | -6.3 | - | - | 3.0 | 7.5 | 8.1 | |
| UAE | (Abu Dhabi) | | | -118.2 | -123.6 | -125.9 | -120.6 | -107.5 | -94.9 | -90.5 | 0.4 | 7.1 | 7.1 | |
| UME | (Gebze-Kocaeli) | | | 24.1 | -1.8 | -7.0 | 1.0 | -0.8 | -4.8 | -2.3 | 0.2 | 4.2 | 4.2 | |
| USNO | (Washington DC) | | | 0.9 | 0.8 | 1.1 | 1.6 | 1.0 | 1.1 | 1.1 | 0.2 | 2.4 | 2.4 | |
| UZ | (Tashkent) | | | 109.7 | 117.6 | 114.0 | 109.9 | 111.2 | 106.5 | 105.9 | 0.2 | 2.8 | 2.8 | |
| VMI | (Ha Noi) | | | -28.2 | -115.4 | -196.6 | -254.0 | -290.4 | -298.0 | -276.7 | 0.7 | 3.0 | 3.1 | |
| VSL | (Delft) | | | 1.6 | 2.1 | 1.4 | 1.9 | 1.8 | 1.9 | 1.3 | 0.2 | 1.3 | 1.3 | |
| ZA | (Pretoria) | | | -15.8 | -4.9 | -30.0 | -52.3 | -18.2 | -12.6 | -8.8 | 19.9 | 3.7 | 20.2 | |
2 - Difference between the normalized frequencies of EAL and TAI.
| Interval of validity | f(EAL)-f(TAI) | |||
| Steering correction | 61069 - 61099 | 6.498x10-13 | (2026 JAN 29 - 2026 FEB 28) | |
| New correction | 61099 - 61129 | 6.498x10-13 | (2026 FEB 28 - 2026 MAR 30) | |
| New correction foreseen | 61129 - 61159 | 6.498x10-13 | (2026 MAR 30 - 2026 APR 29) |
3 - Duration of the TAI scale interval d.
| Standard | Period of | d | uA | uB | uA/Lab | uB/Lab | ul/Tai | u | uSrep | Ref(uS) | Ref(uB) | uB(Ref) | Uptime | LastRep | Nrep3y | Steer | Note |
| Estimation | % | ||||||||||||||||
| PTB-CS1 | 61069 61099 | 5.90 | 8.00 | 8.00 | 0.00 | 0.00 | 0.13 | 11.31 | PFS/NA | T148 | 8.00 | 100.0 | T457 | 36 | Y | (1) | |
| PTB-CS2 | 61069 61099 | -1.31 | 5.00 | 12.00 | 0.00 | 0.00 | 0.13 | 13.00 | PFS/NA | T148 | 12.00 | 100.0 | T457 | 36 | Y | (1) | |
| NICT-Sr1 | 61069 61099 | 0.26 | 0.03 | 0.06 | 0.15 | 0.06 | 0.13 | 0.22 | 0.19 | [1] | T371 | 0.06 | 2.4 | N/A | 0 | Y | (2) |
| NIM5 | 61069 61099 | -1.34 | 0.36 | 0.68 | 0.10 | 0.01 | 0.13 | 0.79 | PFS/NA | T340 | 1.40 | 88.8 | T457 | 26 | Y | (3) | |
| NIM6 | 61069 61079 | -0.64 | 0.40 | 0.24 | 0.10 | 0.01 | 0.35 | 0.59 | PFS/NA | T454 | 0.22 | 99.9 | T457 | 17 | Y | (3) | |
| NIST-F4 | 61049 61069 | -0.22 | 0.32 | 0.21 | 0.04 | 0.01 | 0.19 | 0.43 | PFS/NA | T452 | 0.22 | 99.3 | T452 | 10 | Y | (4) | |
| NIST-F4 | 61069 61099 | -0.49 | 0.25 | 0.21 | 0.05 | 0.01 | 0.13 | 0.36 | PFS/NA | T452 | 0.22 | 98.3 | T452 | 10 | Y | (4) | |
| NPL-E3Yb+3 | 61069 61094 | 0.02 | 0.00 | 0.00 | 0.13 | 0.08 | 0.15 | 0.22 | 0.19 | [1] | T449 | 0.00 | 87.4 | T454 | 9 | Y | (5) |
| NRC-FCs2 | 61069 61099 | 0.27 | 0.13 | 0.12 | 0.11 | 0.00 | 0.13 | 0.25 | PFS/NA | T448 | 0.11 | 92.7 | T457 | 36 | Y | (6) | |
| NTSC-CsF2 | 61069 61099 | -0.31 | 0.58 | 0.44 | 0.10 | 0.00 | 0.21 | 0.76 | PFS/NA | T435 | 0.43 | 92.9 | T457 | 40 | Y | (7) | |
| NTSC-Sr2 | 61069 61099 | -0.27 | 0.00 | 0.05 | 0.38 | 0.02 | 0.21 | 0.44 | 0.19 | [1] | T457 | 0.00 | 17.0 | T457 | 10 | Y | (8) |
| LNEOP-FO2 | 61069 61094 | -0.26 | 0.20 | 0.21 | 0.07 | 0.00 | 0.15 | 0.34 | PFS/NA | T301 | 0.23 | 83.6 | T457 | 32 | Y | (9) | |
| LNEOP-FORb | 61069 61094 | 0.54 | 0.20 | 0.24 | 0.11 | 0.00 | 0.15 | 0.37 | 0.34 | [1] | T328 | 0.34 | 73.3 | T457 | 32 | Y | (9) |
| LNEOP-SrB | 61069 61099 | -0.04 | 0.00 | 0.05 | 0.08 | 0.00 | 0.13 | 0.16 | 0.19 | [1] | T350 | 0.05 | 78.2 | T457 | 10 | Y | (9) |
| PTB-CSF2 | 61069 61099 | 0.02 | 0.13 | 0.17 | 0.03 | 0.00 | 0.13 | 0.25 | PFS/NA | T370 | 0.17 | 89.4 | T457 | 39 | Y | (10) | |
| SU-CsFO2 | 61069 61099 | 0.18 | 0.15 | 0.22 | 0.13 | 0.00 | 0.13 | 0.32 | PFS/NA | T315 | 0.50 | 78.0 | T457 | 36 | Y | (11) |
| Period of estimation | d | u | |
| 61069-61099 | 0.00x10-15 | 0.10x10-15 | (2026 JAN 29 - 2026 FEB 28) |
4 - Relations of UTC with predictions of UTC broadcast by GNSS.
| DATE 0h UTC | MJD | UTC-bUTC_GNSS /ns | |||
| GPS | GLO | GAL | BDS | ||
| 2026-01-29 | 61069 | 1.6 | 0.0 | 2.8 | -0.6 |
| 2026-01-30 | 61070 | 2.6 | -1.5 | 4.0 | -0.1 |
| 2026-01-31 | 61071 | 3.2 | -0.3 | 4.2 | 0.1 |
| 2026-02-01 | 61072 | 0.9 | 1.0 | 4.3 | -0.9 |
| 2026-02-02 | 61073 | 1.1 | 0.0 | 3.8 | -0.2 |
| 2026-02-03 | 61074 | 1.8 | -0.6 | 4.4 | -0.1 |
| 2026-02-04 | 61075 | 2.6 | -1.3 | 4.4 | -0.1 |
| 2026-02-05 | 61076 | 1.7 | 4.0 | 2.3 | -0.5 |
| 2026-02-06 | 61077 | 1.8 | 1.0 | 2.2 | -0.2 |
| 2026-02-07 | 61078 | 2.2 | 1.5 | 1.9 | 0.5 |
| 2026-02-08 | 61079 | 2.0 | -5.8 | 2.3 | 0.1 |
| 2026-02-09 | 61080 | 2.2 | -8.6 | 2.8 | 0.3 |
| 2026-02-10 | 61081 | 2.1 | -11.7 | 3.2 | -0.5 |
| 2026-02-11 | 61082 | 1.1 | -9.9 | 3.1 | -0.7 |
| 2026-02-12 | 61083 | 2.3 | -6.9 | 2.1 | 0.5 |
| 2026-02-13 | 61084 | 2.6 | -6.0 | 1.8 | 0.2 |
| 2026-02-14 | 61085 | 2.0 | -3.1 | 2.5 | 0.2 |
| 2026-02-15 | 61086 | 1.5 | -5.1 | 2.5 | -0.2 |
| 2026-02-16 | 61087 | 1.5 | -3.1 | 2.8 | 0.3 |
| 2026-02-17 | 61088 | 1.4 | -5.3 | 3.6 | 0.7 |
| 2026-02-18 | 61089 | 0.9 | -4.4 | 2.5 | 0.5 |
| 2026-02-19 | 61090 | 1.1 | -5.6 | 1.1 | 0.6 |
| 2026-02-20 | 61091 | 0.9 | -4.9 | -0.4 | 0.7 |
| 2026-02-21 | 61092 | 0.6 | -4.3 | -0.3 | 0.4 |
| 2026-02-22 | 61093 | 1.3 | -4.1 | -0.3 | -0.9 |
| 2026-02-23 | 61094 | 2.8 | -1.9 | -0.0 | 1.3 |
| 2026-02-24 | 61095 | 1.2 | -4.4 | -0.1 | 0.6 |
| 2026-02-25 | 61096 | 1.2 | -7.6 | -1.5 | 1.4 |
| 2026-02-26 | 61097 | 1.8 | -5.1 | -2.9 | 1.0 |
| 2026-02-27 | 61098 | 0.9 | -6.1 | -4.0 | 0.9 |
| 2026-02-28 | 61099 | 2.5 | -7.7 | -3.9 | 0.2 |
5 - Time links used for the computation of TAI, calibrations information and corresponding uncertainties.
| Link | Type | Equipment | Cal_ID1 | / | Cal_ID2 | uStb/ns | uCal/ns | uAg/ns | Al/ns | YYMM |
| AGGO/PTB | GPS P3 | TC_2 /PT13 | 1014-2021 | / | 1001-2022 | 0.7 | 3.1 | 1.9 | ||
| AOS /PTB | GPSPPP | AO_5 /PT13 | 1012-2024 | / | 1001-2022 | 0.3 | 2.8 | 1.3 | ||
| APL /PTB | GPSPPP | AP04 /PT13 | NC | / | 1001-2022 | 0.3 | NC | |||
| AUS /PTB | GPSPPP | AU04 /PT13 | 1015-2021 | / | 1001-2022 | 0.3 | 3.1 | 1.9 | ||
| AZ /PTB | GPSPPP | AZ01 /PT13 | 2002-2024 | / | 1001-2022 | 0.3 | 7.1 | 1.3 | ||
| BEV /PTB | GPSPPP | BE1_ /PT13 | 1016-2021 | / | 1001-2022 | 0.3 | 3.1 | 1.9 | ||
| BFKH/PTB | GPS MC | MK01 /PT13 | NA_Al | / | 1001-2022 | 1.5 | 7.3 | 1.7 | -193.2 | 2406 |
| BIM /PTB | GPSPPP | BM51 /PT13 | 1016-2023 | / | 1001-2022 | 0.3 | 2.8 | 1.3 | ||
| BIRM/PTB | GPSPPP | BI41 /PT13 | 1016-2018 | / | 1001-2022 | 0.5 | 3.6 | 2.7 | ||
| BSJ /PTB | GPS MC | JM__ /PT13 | NC | / | 1001-2022 | 7.0 | NC | |||
| BY /PTB | GPS MC | BY46 /PT13 | 1020-2021 | / | 1001-2022 | 1.5 | 3.3 | 1.9 | ||
| CAO /PTB | NL | |||||||||
| CNES/PTB | GPSPPP | CS24 /PT13 | 1011-2025 | / | 1001-2022 | 0.3 | 2.8 | 1.3 | ||
| CNM /PTB | GPS MC | CN00 /PT13 | NA_Al | / | 1001-2022 | 3.0 | 4.5 | 3.1 | -27.3 | 0804 |
| CNMP/PTB | GPSPPP | MP1_ /PT13 | 1011-2017 | / | 1001-2022 | 0.3 | 5.6 | 3.1 | ||
| DFM /PTB | GPSPPP | DK01 /PT13 | 1017-2022 | / | 1001-2022 | 0.3 | 2.9 | 1.5 | ||
| DFNT/PTB | GPS P3 | DN__ /PT13 | 1015-2024 | / | 1001-2022 | 0.7 | 2.8 | 1.3 | ||
| DLR /PTB | GPSPPP | DL11 /PT13 | 1016-2024 | / | 1001-2022 | 0.3 | 2.8 | 1.3 | ||
| DMDM/PTB | GPSPPP | ZM01 /PT13 | 2002-2018 | / | 1001-2022 | 0.3 | 7.5 | 2.8 | ||
| DTAG/PTB | GPSPPP | DT05 /PT13 | 1016-2024 | / | 1001-2022 | 0.3 | 2.8 | 1.3 | ||
| ESA /PTB | GPSPPP | ES07 /PT13 | 1017-2024 | / | 1001-2022 | 0.3 | 2.8 | 1.3 | ||
| HKO /PTB | GPSPPP | HKO1 /PT13 | 1011-2018 | / | 1001-2022 | 0.3 | 3.8 | 2.9 | ||
| IBM /PTB | GPS MC | BO__ /PT13 | 2005-2016 | / | 1001-2022 | 4.0 | 7.7 | 3.2 | ||
| ICE /PTB | GPSPPP | CE__ /PT13 | 2001-2023 | / | 1001-2022 | 0.3 | 7.1 | 1.4 | ||
| IDN /PTB | GPSPPP | KI03 /PT13 | NC | / | 1001-2022 | 0.3 | NC | |||
| IFAG/PTB | GPSPPP | IF20 /PT13 | 1016-2024 | / | 1001-2022 | 0.3 | 2.8 | 1.3 | ||
| IFZG/PTB | GPSPPP | HR01 /PT13 | 1016-2023 | / | 1001-2022 | 0.3 | 2.8 | 1.3 | ||
| IMBH/PTB | GPSPPP | BH02 /PT13 | 1013-2022 | / | 1001-2022 | 0.3 | 3.0 | 1.7 | ||
| INCP/PTB | GPS MC | CP__ /PT13 | 1012-2023 | / | 1001-2022 | 5.0 | 4.1 | 1.3 | ||
| INM /PTB | GPS MC | IC__ /PT13 | 1012-2023 | / | 1001-2022 | 3.0 | 4.1 | 1.3 | ||
| INPL/PTB | GPSPPP | IL06 /PT13 | 2003-2016 | / | 1001-2022 | 0.3 | 7.7 | 3.2 | ||
| INTI/PTB | GPSPPP | INTI /PT13 | 1014-2021 | / | 1001-2022 | 0.3 | 3.4 | 1.8 | ||
| INXE/PTB | GPS P3 | NXRA /PT13 | 1012-2020 | / | 1001-2022 | 0.7 | 3.5 | 2.4 | ||
| IPQ /PTB | GPS P3 | IP05 /PT13 | 1017-2021 | / | 1001-2022 | 0.7 | 3.2 | 2.0 | ||
| JATC/PTB | GPSPPP | JA02 /PT13 | 1201-2018 | / | 1001-2022 | 0.3 | 3.8 | 2.8 | ||
| JV /PTB | GPSPPP | JV02 /PT13 | 1101-2017 | / | 1001-2022 | 0.3 | 5.0 | 3.0 | ||
| KRIS/PTB | GPSPPP | KRP1 /PT13 | 1015-2021 | / | 1001-2022 | 0.3 | 3.2 | 1.9 | ||
| KZ /PTB | GPS P3 | KZ04 /PT13 | 1202-2021 | / | 1001-2022 | 0.7 | 4.4 | 1.9 | ||
| LRTE/PTB | GPS P3 | LRR2 /PT13 | 1201-2025 | / | 1001-2022 | 0.7 | 3.7 | 1.3 | ||
| LT /PTB | GPSPPP | LT03 /PT13 | 1020-2023 | / | 1001-2022 | 0.3 | 2.8 | 1.3 | ||
| LUX /PTB | GPSPPP | LU01 /PT13 | 1011-2025 | / | 1001-2022 | 0.5 | 2.8 | 1.3 | ||
| MASM | NL | |||||||||
| MBM /PTB | GPSPPP | ME01 /PT13 | 1021-2021 | / | 1001-2022 | 0.3 | 3.1 | 1.8 | ||
| MIKE/PTB | GPSPPP | MI04 /PT13 | 1019-2023 | / | 1001-2022 | 0.3 | 2.8 | 1.3 | ||
| MSL /PTB | GPS P3 | MS01 /PT13 | 1015-2021 | / | 1001-2022 | 0.7 | 3.1 | 1.9 | ||
| MTC /PTB | GPSPPP | MC02 /PT13 | NA_Al | / | 1001-2022 | 0.3 | 69.7 | 69.3 | 53.9 | 2601 |
| NAO /PTB | GPS MC | NAT2 /PT13 | 1012-2022 | / | 1001-2022 | 2.0 | 3.9 | 1.9 | ||
| NICT/PTB | GPSPPP | NC5S /PT13 | 1001-2022 | / | 1001-2022 | 0.3 | 2.1 | 1.5 | ||
| NIM /PTB | GPSPPP | IM02 /PT13 | 1001-2022 | / | 1001-2022 | 0.3 | 2.2 | 1.5 | ||
| NIMB | NL | |||||||||
| NIMT/PTB | GPSPPP | MTTN /PT13 | 1016-2022 | / | 1001-2022 | 0.4 | 3.1 | 1.5 | ||
| NIS /PTB | GPS P3 | IS_5 /PT13 | 2001-2021 | / | 1001-2022 | 0.7 | 7.3 | 2.0 | ||
| NMIJ/PTB | GPSPPP | NM0F /PT13 | 1015-2022 | / | 1001-2022 | 0.3 | 3.0 | 1.7 | ||
| NMLS/PTB | GPSPPP | LSM2 /PT13 | 1011-2023 | / | 1001-2022 | 0.3 | 2.9 | 1.4 | ||
| NPLI/PTB | GPSPPP | LIAA /PT13 | 1011-2024 | / | 1001-2022 | 0.3 | 2.8 | 1.3 | ||
| NRC /PTB | GPSPPP | NRCC /PT13 | 1015-2023 | / | 1001-2022 | 0.3 | 2.8 | 1.3 | ||
| NRL /PTB | NL | |||||||||
| NSAI/PTB | GPSPPP | IE01 /PT13 | 2022-2019 | / | 1001-2022 | 0.3 | 7.4 | 2.5 | ||
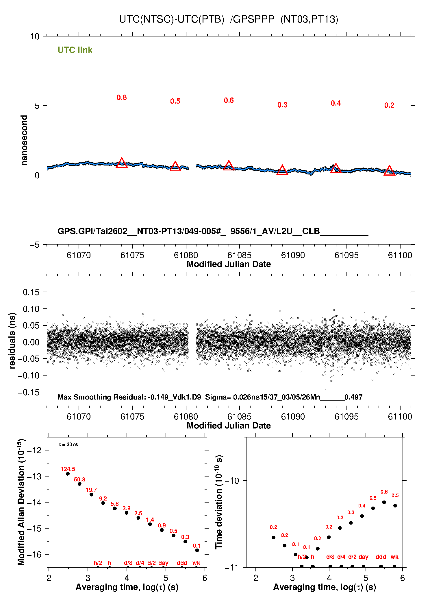
| NTSC/PTB | GPSPPP | NT03 /PT13 | 1016-2018 | / | 1001-2022 | 0.3 | 3.7 | 2.7 | ||
| ONBA/PTB | GPS MC | ON__ /PT13 | 1014-2021 | / | 1001-2022 | 2.0 | 3.4 | 1.9 | ||
| ONRJ/PTB | GPSPPP | RJ04 /PT13 | 1012-2020 | / | 1001-2022 | 0.3 | 3.4 | 2.3 | ||
| ORB /PTB | GPSPPP | OR5Z /PT13 | 1017-2023 | / | 1001-2022 | 0.3 | 2.8 | 1.3 | ||
| PL /PTB | GPSPPP | PL_5 /PT13 | 1012-2024 | / | 1001-2022 | 0.3 | 2.8 | 1.3 | ||
| SASO/PTB | GPSPPP | SAS0 /PT13 | 1020-2017 | / | 1001-2022 | 0.4 | 3.9 | 3.0 | ||
| SCL /PTB | GPSPPP | SC05 /PT13 | 1011-2018 | / | 1001-2022 | 0.3 | 3.8 | 2.9 | ||
| SG /PTB | GPSPPP | SG02 /PT13 | 1018-2023 | / | 1001-2022 | 0.3 | 2.8 | 1.3 | ||
| SIQ /PTB | GPSPPP | SI01 /PT13 | 1013-2019 | / | 1001-2022 | 0.3 | 4.3 | 2.4 | ||
| SMD /PTB | GPSPPP | SD31 /PT13 | 1201-2020 | / | 1001-2022 | 0.3 | 4.6 | 2.2 | ||
| SMU /PTB | GPS MC | SM00 /PT13 | 1202-2024 | / | 1001-2022 | 1.5 | 6.2 | 1.3 | ||
| TL /PTB | GPSPPP | TLT5 /PT13 | 1001-2022 | / | 1001-2022 | 0.3 | 2.1 | 1.4 | ||
| TP /PTB | GPSPPP | TP02 /PT13 | 1013-2021 | / | 1001-2022 | 0.3 | 3.2 | 2.0 | ||
| UA /PTB | GPS MC | UA05 /PT13 | 2003-2018 | / | 1001-2022 | 3.0 | 7.5 | 2.8 | ||
| UAE /PTB | GPSPPP | AE02 /PT13 | 2001-2025 | / | 1001-2022 | 0.4 | 7.1 | 1.3 | ||
| UME /PTB | GPSPPP | UM01 /PT13 | 1011-2016 | / | 1001-2022 | 0.3 | 4.2 | 3.4 | ||
| UZ /PTB | GPSPPP | UZ__ /PT13 | 1013-2025 | / | 1001-2022 | 0.3 | 2.8 | 1.3 | ||
| VMI /PTB | GPS P3 | VM12 /PT13 | 1011-2022 | / | 1001-2022 | 0.7 | 3.0 | 1.7 | ||
| ZA /PTB | GPS P3 | ZA02 /PT13 | 1018-2018 | / | 1001-2022 | 20.0 | 3.7 | 2.8 | ||
| Link | Type | Equipment | Cal_ID | uStb/ns | uCal/ns | uAg/ns | Al/ns | YYMM | ||
| CH /PTB | TWGPPP | CH01 /PTB05 | 0623-2024 | 0.3 | 1.2 | 0.6 | ||||
| IT /PTB | TWGPPP | IT01 /PTB05 | 0622-2024 | 0.3 | 1.2 | 0.6 | ||||
| NIST/PTB | TWGPPP | NIST01/PTB05 | 0593-2024 | 0.3 | 2.0 | 0.3 | ||||
| NPL /PTB | TWGPPP | NPL02 /PTB05 | 0620-2024 | 0.3 | 1.2 | 0.6 | ||||
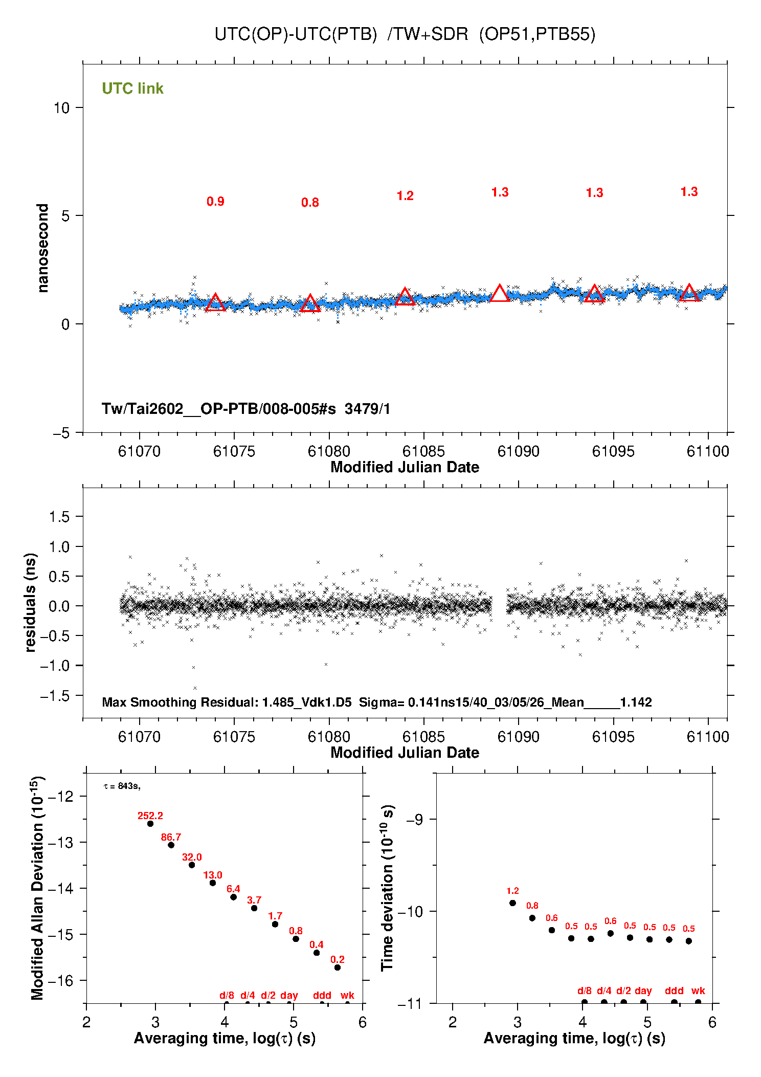
| OP /PTB | TWSDRR | OP51 /PTB55 | 0624-2024 | 0.3 | 1.2 | 0.6 | ||||
| ROA /PTB | TWGPPP | ROA01 /PTB05 | 0618-2024 | 0.3 | 1.2 | 0.6 | ||||
| SP /PTB | TWGPPP | SP01 /PTB05 | 0621-2024 | 0.3 | 1.2 | 0.6 | ||||
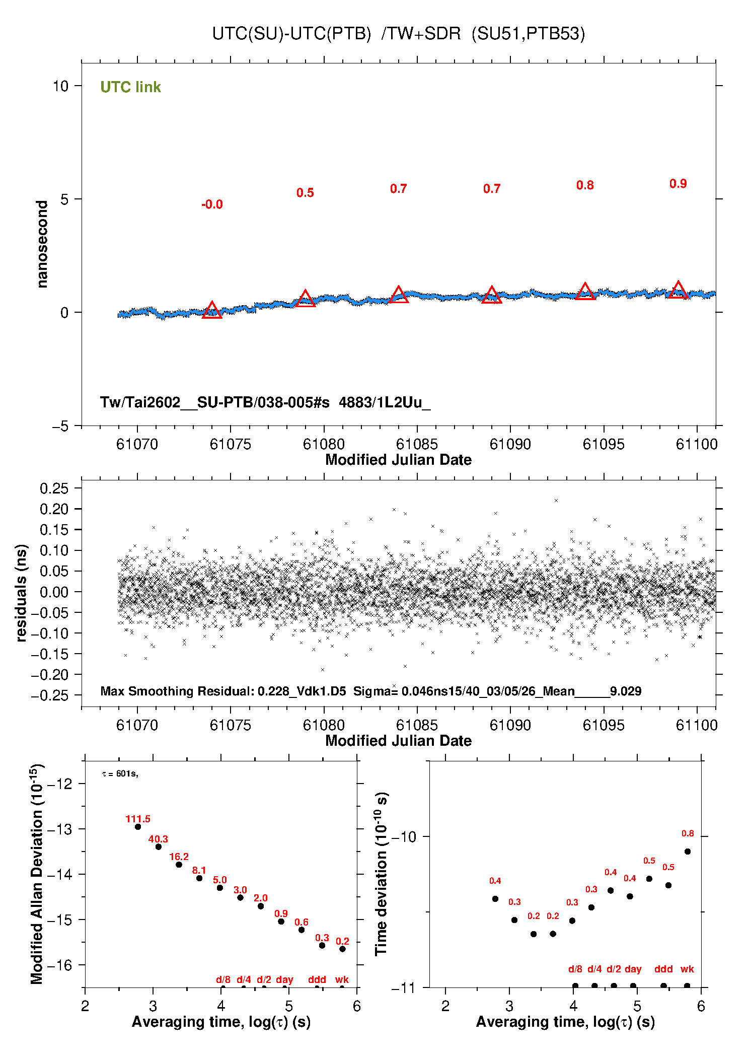
| SU /PTB | TWSDRR | SU51 /PTB53 | NA_Al | / | 1001-2022 | 0.3 | 2.5 | 1.7 | -8.5 | 2506 |
| USNO/PTB | TWGPPP | USNO01/PTB05 | 0534-2021 | 0.3 | 2.4 | 2.2 | ||||
| VSL /PTB | TWGPPP | VSL01 /PTB05 | 0616-2024 | 0.3 | 1.3 | 0.6 |