![]() | CIRCULAR T 457 | ![]() | ISSN 1143-1393
| |
| 2026 FEBRUARY 11, 09h UTC | ||||
| BUREAU INTERNATIONAL DES POIDS ET MESURES | ||||
| THE INTERGOVERNMENTAL ORGANIZATION ESTABLISHED BY THE METRE CONVENTION | ||||
| PAVILLON DE BRETEUIL F-92312 SEVRES CEDEX TEL. +33 1 45 07 70 70 tai@bipm.org | ||||
1 - Difference between UTC and its local realizations UTC(k) and corresponding uncertainties.
From 2017 January 1, 0h UTC, TAI-UTC = 37 s.
| Date 2025/26 0h UTC | DEC 30 | JAN 4 | JAN 9 | JAN 14 | JAN 19 | JAN 24 | JAN 29 | Uncertainty/ns | Notes | |||||
| MJD | 61039 | 61044 | 61049 | 61054 | 61059 | 61064 | 61069 | uA | uB | u | ||||
| Laboratory k | [UTC-UTC(k)]/ns | |||||||||||||
| AGGO | (La Plata) | | | 276.5 | 288.9 | 301.0 | 313.0 | 322.3 | 324.4 | 319.5 | 0.7 | 3.1 | 3.2 | |
| AOS | (Borowiec) | | | 1.7 | 1.8 | 1.6 | 1.4 | 1.3 | 0.6 | 0.8 | 0.2 | 2.8 | 2.8 | |
| APL | (Laurel) | | | -0.8 | -0.9 | -0.8 | 0.8 | 1.0 | 0.7 | 0.8 | 0.2 | NC | - | |
| AUS | (Sydney) | | | 30.9 | 8.4 | -3.0 | -9.7 | -14.6 | -7.8 | -21.3 | 0.2 | 3.1 | 3.1 | |
| AZ | (Baku) | | | 487.1 | 507.1 | 522.1 | 538.7 | 557.3 | 570.5 | 584.0 | 0.2 | 7.1 | 7.1 | |
| BEV | (Wien) | | | -29.4 | -34.5 | -36.6 | -25.9 | -13.6 | -4.6 | 5.6 | 0.2 | 3.1 | 3.1 | |
| BFKH | (Budapest) | | | 4593.1 | 4634.9 | - | - | - | - | - | 1.5 | 7.3 | 7.4 | |
| BIM | (Sofiya) | | | 6183.0 | 6228.8 | 6277.3 | 6326.1 | 6366.9 | 6413.4 | 6458.1 | 0.2 | 2.8 | 2.8 | |
| BIRM | (Beijing) | | | -0.7 | -0.9 | -0.8 | -1.5 | -2.1 | -0.5 | -0.2 | 0.5 | 3.6 | 3.6 | |
| BSJ | (Kingston) | | | 21.5 | 16.1 | 6.4 | 7.0 | 18.6 | 16.2 | 14.4 | 7.0 | 7.1 | 10.0 | |
| BY | (Minsk) | | | -0.7 | -1.4 | -0.5 | -1.1 | 0.2 | 0.9 | 1.5 | 1.5 | 3.3 | 3.6 | |
| CAO | (Cagliari) | | | - | - | - | - | - | - | - | ||||
| CH | (Bern-Wabern) | | | -2.6 | -1.9 | -1.4 | -0.9 | -0.5 | -0.2 | 0.2 | 0.2 | 1.2 | 1.2 | |
| CNES | (Toulouse) | | | -3.0 | -2.3 | -1.4 | -0.5 | 0.5 | 0.5 | -0.2 | 0.2 | 2.8 | 2.8 | |
| CNM | (Queretaro) | | | 0.3 | -1.9 | -1.9 | -3.0 | -3.0 | -1.6 | -0.0 | 3.0 | 4.5 | 5.4 | |
| CNMP | (Panama) | | | -11.0 | -12.4 | 9.7 | -7.6 | -11.1 | 2.0 | 4.1 | 0.2 | 5.6 | 5.6 | |
| DFM | (Horsholm) | | | -23.9 | -26.1 | -29.1 | -32.1 | -35.4 | -39.4 | -43.3 | 0.2 | 2.9 | 2.9 | |
| DFNT | (Tunis) | | | - | - | 178.1 | 92.8 | 3.7 | -81.5 | -169.5 | 0.7 | 2.8 | 2.9 | |
| DLR | (Oberpfaffenhofen) | | | -5.1 | -9.3 | -12.1 | -7.5 | -1.5 | 1.4 | -0.1 | 0.2 | 2.8 | 2.8 | |
| DMDM | (Belgrade) | | | 4.0 | -10.9 | -3.6 | -15.3 | -31.6 | -28.9 | -30.6 | 0.2 | 7.5 | 7.5 | |
| DTAG | (Frankfurt/M) | | | 9.0 | 11.1 | 23.2 | 30.4 | 35.4 | 31.7 | 39.4 | 0.2 | 2.8 | 2.8 | |
| ESA | (Noordwijk) | | | 0.6 | -0.2 | -0.2 | -0.0 | -1.0 | -1.2 | -1.3 | 0.2 | 2.8 | 2.8 | |
| HKO | (Hong Kong) | | | 747.3 | 753.2 | 772.4 | 791.5 | 799.8 | 819.2 | 843.4 | 0.2 | 3.8 | 3.8 | |
| IBM | (La Paz) | | | 116.8 | 98.2 | 89.5 | 74.8 | 74.0 | 69.8 | 57.1 | 4.0 | 7.7 | 8.7 | |
| ICE | (San Jose) | | | 40.7 | 31.8 | 47.5 | 65.8 | 74.4 | 65.1 | 65.8 | 0.2 | 7.1 | 7.1 | |
| IDN | (Serpong-Tangerang) | | | 4844.8 | 4982.1 | 5145.8 | 5297.4 | 5442.9 | 5607.3 | 5771.2 | 0.4 | NC | - | |
| IFAG | (Wettzell) | | | -823.3 | -821.7 | -828.9 | -841.3 | -853.2 | -864.5 | -874.4 | 0.2 | 2.8 | 2.8 | |
| IFZG | (Zagreb) | | | 331.9 | 326.4 | 324.7 | 318.5 | 318.7 | 321.7 | 314.0 | 0.2 | 2.8 | 2.8 | |
| IMBH | (Sarajevo) | | | -0.3 | -0.6 | 1.6 | -0.8 | -1.4 | 5.0 | 0.5 | 0.2 | 3.0 | 3.0 | |
| INCP | (Lima) | | | 33.6 | 23.4 | 38.8 | 21.6 | 12.1 | 0.8 | 17.0 | 5.0 | 4.1 | 6.5 | |
| INM | (Bogota D.C.) | | | -41.5 | -42.9 | -40.8 | -41.7 | -34.6 | -24.4 | -31.5 | 3.0 | 4.1 | 5.1 | |
| INPL | (Jerusalem) | | | 26.7 | 15.0 | 13.6 | 6.8 | 13.2 | -2.8 | -13.4 | 0.2 | 7.7 | 7.7 | |
| INTI | (Buenos Aires) | | | -116.1 | -121.2 | -109.5 | -132.1 | -132.1 | -144.4 | -137.7 | 0.2 | 3.4 | 3.4 | |
| INXE | (Rio de Janeiro) | | | 6.1 | -3.0 | 1.0 | -3.2 | 7.7 | -5.9 | -1.5 | 0.7 | 3.4 | 3.5 | |
| IPQ | (Caparica) | | | 174.5 | - | 121.5 | 97.0 | 72.8 | - | 13.4 | 0.7 | 3.2 | 3.3 | |
| IT | (Torino) | | | 1.6 | 1.8 | 1.2 | 0.9 | 0.8 | 1.2 | 1.9 | 0.2 | 1.2 | 1.2 | |
| JATC | (Lintong) | | | -0.5 | -0.7 | -0.9 | -1.1 | -1.0 | -1.3 | -1.1 | 0.4 | 3.8 | 3.8 | |
| JV | (Kjeller) | | | -3.0 | -1.7 | -1.2 | -0.6 | 1.2 | 2.5 | 2.6 | 0.2 | 5.0 | 5.0 | |
| KRIS | (Daejeon) | | | -0.1 | -0.4 | 0.1 | 0.8 | 1.0 | 1.0 | 1.1 | 0.2 | 3.1 | 3.1 | |
| KZ | (Astana) | | | -3.9 | -4.9 | -5.4 | -4.8 | -5.0 | -5.0 | -2.7 | 0.7 | 4.4 | 4.5 | |
| LRTE | (Sao Carlos) | | | -5.1 | -1.0 | 1.2 | -2.3 | 1.7 | 1.6 | 1.3 | 0.7 | 3.7 | 3.8 | |
| LT | (Vilnius) | | | 1313.5 | 1317.3 | 1326.4 | 1337.2 | 1339.6 | 1347.1 | 1340.5 | 0.2 | 2.8 | 2.8 | |
| LUX | (Belvaux) | | | -12.9 | -7.6 | -3.8 | -2.9 | 2.9 | 5.3 | 11.3 | 0.5 | 2.8 | 2.8 | |
| MASM | (Bayanzurkh) | | | - | - | - | - | - | - | - | ||||
| MBM | (Podgorica) | | | 4172.2 | 4207.9 | 4235.5 | 4251.9 | 4276.6 | 4296.7 | 4310.4 | 0.2 | 3.0 | 3.0 | |
| MIKE | (Espoo) | | | -7.6 | -7.3 | -8.7 | -10.5 | -12.8 | -11.0 | -9.2 | 0.2 | 2.8 | 2.8 | |
| MSL | (Lower Hutt) | | | 15.8 | 9.7 | 15.3 | 13.0 | 20.7 | 34.2 | 40.5 | 0.7 | 3.1 | 3.2 | |
| MTC | (Makkah) | | | 11.3 | 9.6 | 19.4 | - | 17.0 | - | - | 4.0 | 68.0 | 68.1 | |
| NAO | (Mizusawa) | | | 3614.2 | 3664.0 | 3716.6 | 3780.4 | 3835.9 | 3899.4 | 3952.2 | 2.0 | 3.9 | 4.4 | |
| NICT | (Tokyo) | | | -0.2 | 0.0 | 0.2 | 0.6 | 1.1 | 1.5 | 2.2 | 0.2 | 2.1 | 2.1 | |
| NIM | (Beijing) | | | -0.4 | -0.4 | -0.5 | -0.3 | -0.3 | -0.8 | -0.6 | 0.2 | 2.1 | 2.1 | |
| NIMB | (Bucharest) | | | - | - | - | - | - | - | - | ||||
| NIMT | (Pathumthani) | | | 24.4 | 14.9 | 7.9 | 1.5 | 1.6 | 9.1 | 8.0 | 0.2 | 3.1 | 3.1 | |
| NIS | (Cairo) | | | -174.4 | -178.7 | -181.9 | -188.2 | -197.7 | - | -197.3 | 0.7 | 7.3 | 7.3 | |
| NIST | (Boulder) | | | 2.3 | 1.9 | 0.6 | -0.3 | -1.7 | -1.8 | -1.0 | 0.2 | 2.0 | 2.0 | |
| NMIJ | (Tsukuba) | | | -1.8 | -1.4 | -1.2 | -0.9 | -0.6 | -1.0 | -0.9 | 0.2 | 3.0 | 3.0 | |
| NMLS | (Sepang) | | | 51.1 | 73.4 | 96.8 | 117.6 | 143.3 | 138.5 | 70.3 | 0.2 | 2.8 | 2.8 | |
| NPL | (Teddington) | | | 0.1 | 0.6 | 0.7 | -0.9 | -0.6 | 0.9 | 1.1 | 0.2 | 1.2 | 1.2 | |
| NPLI | (New-Delhi) | | | -1.4 | -1.2 | -0.8 | -1.2 | -1.3 | -1.7 | -1.6 | 0.2 | 2.8 | 2.8 | |
| NRC | (Ottawa) | | | -1.5 | -1.7 | -1.9 | -2.1 | -1.9 | -1.5 | -1.2 | 0.2 | 2.8 | 2.8 | |
| NRL | (Washington DC) | | | - | - | - | - | - | - | - | ||||
| NSAI | (Dublin) | | | -60.4 | -52.9 | -45.8 | -39.3 | -34.2 | -30.0 | -24.6 | 0.2 | 7.4 | 7.4 | |
| NTSC | (Lintong) | | | 0.1 | 0.3 | 0.3 | 0.4 | 0.6 | 0.4 | 0.2 | 0.4 | 3.7 | 3.7 | |
| ONBA | (Buenos Aires) | | | 3149.1 | 3174.6 | 3195.4 | 3228.0 | 3254.9 | 3273.7 | 3283.3 | 2.0 | 3.4 | 3.9 | |
| ONRJ | (Rio de Janeiro) | | | -0.6 | 3.0 | -0.5 | -3.0 | 2.1 | 3.6 | 0.7 | 0.2 | 3.4 | 3.4 | |
| OP | (Paris) | | | -0.1 | 0.2 | 0.2 | -0.1 | 0.1 | 0.3 | 0.4 | 0.2 | 1.2 | 1.2 | |
| ORB | (Bruxelles) | | | -1.4 | -1.4 | -1.3 | -0.7 | 0.1 | 0.6 | 0.9 | 0.2 | 2.8 | 2.8 | |
| PL | (Warszawa) | | | -2.7 | -2.7 | -3.2 | -3.3 | -3.6 | -4.0 | -4.2 | 0.2 | 2.8 | 2.8 | |
| PTB | (Braunschweig) | | | 0.2 | 0.4 | 0.6 | 0.7 | 0.9 | 0.8 | 1.1 | 0.2 | 1.2 | 1.2 | |
| ROA | (San Fernando) | | | -0.5 | -1.9 | -1.3 | 0.3 | 1.0 | 2.5 | 4.1 | 0.2 | 1.2 | 1.2 | |
| SASO | (Riyadh) | | | 900.0 | 900.4 | 902.9 | 899.9 | 893.1 | 892.2 | 896.7 | 0.2 | 3.9 | 3.9 | |
| SCL | (Hong Kong) | | | -11.2 | -11.6 | -10.8 | -9.9 | -1.8 | 5.0 | 7.8 | 0.2 | 3.8 | 3.8 | |
| SG | (Singapore) | | | -1.3 | -2.4 | -6.5 | -3.9 | 1.3 | 14.6 | 5.0 | 0.2 | 2.8 | 2.8 | |
| SIQ | (Ljubljana) | | | 1573.0 | 1560.7 | 1554.6 | 1556.5 | 1552.6 | 1539.2 | 1533.0 | 0.2 | 4.2 | 4.2 | |
| SMD | (Bruxelles) | | | 0.1 | 0.7 | 1.1 | 1.3 | 1.5 | 1.6 | 1.9 | 0.2 | 4.6 | 4.6 | |
| SMU | (Bratislava) | | | - | 417.7 | 429.8 | 406.7 | 370.3 | 364.7 | 280.2 | 1.5 | 6.2 | 6.4 | |
| SP | (Boras) | | | 0.5 | 0.8 | 0.9 | 1.1 | 1.7 | 1.6 | 1.5 | 0.2 | 1.2 | 1.2 | |
| SU | (Moskva) | | | 1.8 | 1.4 | 1.3 | 1.4 | 1.2 | 1.1 | 1.2 | 0.2 | 2.5 | 2.5 | |
| TL | (Chung-Li) | | | -0.9 | -0.9 | 0.1 | -0.2 | -0.2 | -0.1 | 0.2 | 0.2 | 2.0 | 2.0 | |
| TP | (Praha) | | | -21.9 | -32.5 | -33.1 | -27.3 | -26.1 | -23.7 | -15.2 | 0.2 | 3.2 | 3.2 | |
| UA | (Kharkiv) | | | -1.4 | - | -10.7 | - | - | - | -4.4 | 3.0 | 7.5 | 8.1 | |
| UAE | (Abu Dhabi) | | | -62.1 | -68.9 | -76.8 | -81.8 | -93.1 | -104.2 | -118.2 | 0.2 | 7.1 | 7.1 | |
| UME | (Gebze-Kocaeli) | | | -75.7 | -108.8 | -109.2 | -109.2 | -111.7 | -27.8 | 24.1 | 0.2 | 4.2 | 4.2 | |
| USNO | (Washington DC) | | | -0.9 | -1.0 | -1.1 | -0.6 | -0.0 | 0.4 | 0.9 | 0.2 | 2.4 | 2.4 | |
| UZ | (Tashkent) | | | 115.2 | 112.9 | 119.1 | 111.6 | 105.0 | 107.9 | 109.7 | 0.2 | 2.8 | 2.8 | |
| VMI | (Ha Noi) | | | 103.5 | 104.2 | 99.2 | 103.2 | 88.1 | 42.5 | -28.2 | 0.7 | 3.0 | 3.1 | |
| VSL | (Delft) | | | 2.7 | -0.1 | -2.6 | -4.5 | -4.2 | -1.2 | 1.6 | 0.2 | 1.3 | 1.3 | |
| ZA | (Pretoria) | | | -0.2 | 10.7 | 3.3 | 10.3 | -6.6 | -7.3 | -15.8 | 19.9 | 3.7 | 20.2 | |
| - Notes on section 1: | ||||||||||||||
2 - Difference between the normalized frequencies of EAL and TAI.
| Interval of validity | f(EAL)-f(TAI) | |||
| Steering correction | 61039 - 61069 | 6.498x10-13 | (2025 DEC 30 - 2026 JAN 29) | |
| New correction | 61069 - 61099 | 6.498x10-13 | (2026 JAN 29 - 2026 FEB 28) | |
| New correction foreseen | 61099 - 61129 | 6.498x10-13 | (2026 FEB 28 - 2026 MAR 30) |
3 - Duration of the TAI scale interval d.
| Standard | Period of | d | uA | uB | uA/Lab | uB/Lab | ul/Tai | u | uSrep | Ref(uS) | Ref(uB) | uB(Ref) | Uptime | LastRep | Nrep3y | Steer | Note |
| Estimation | % | ||||||||||||||||
| PTB-CS1 | 61039 61069 | 12.77 | 8.00 | 8.00 | 0.00 | 0.00 | 0.13 | 11.31 | PFS/NA | T148 | 8.00 | 100.0 | T456 | 36 | Y | (1) | |
| PTB-CS2 | 61039 61069 | -2.74 | 5.00 | 12.00 | 0.00 | 0.00 | 0.13 | 13.00 | PFS/NA | T148 | 12.00 | 100.0 | T456 | 36 | Y | (1) | |
| METAS-FOC2 | 61049 61069 | -1.24 | 0.12 | 1.87 | 0.20 | 0.07 | 0.19 | 1.90 | PFS/NA | T371 | 1.99 | 86.7 | T455 | 12 | Y | (2) | |
| MIKES-Sr+1 | 60459 60489 | -2.20 | 0.00 | 0.00 | 0.13 | 0.02 | 0.13 | 0.19 | 1.30 | [1] | [2] | 0.00 | 81.1 | N/A | 0 | N | (3) |
| MIKES-Sr+1 | 60489 60514 | -2.04 | 0.00 | 0.00 | 0.24 | 0.02 | 0.15 | 0.29 | 1.30 | [1] | [2] | 0.00 | 67.9 | N/A | 0 | N | (3) |
| MIKES-Sr+1 | 60519 60549 | -2.00 | 0.00 | 0.00 | 0.24 | 0.02 | 0.13 | 0.27 | 1.30 | [1] | [2] | 0.00 | 77.4 | N/A | 0 | N | (3) |
| MIKES-Sr+1 | 60549 60579 | -1.92 | 0.00 | 0.00 | 0.02 | 0.02 | 0.13 | 0.13 | 1.30 | [1] | [2] | 0.00 | 98.9 | N/A | 0 | N | (3) |
| MIKES-Sr+1 | 60579 60614 | -1.74 | 0.00 | 0.00 | 0.10 | 0.02 | 0.14 | 0.18 | 1.30 | [1] | [2] | 0.00 | 88.6 | N/A | 0 | N | (3) |
| MIKES-Sr+1 | 60614 60644 | -1.62 | 0.00 | 0.00 | 0.15 | 0.02 | 0.17 | 0.22 | 1.30 | [1] | [2] | 0.00 | 79.5 | N/A | 0 | N | (3) |
| MIKES-Sr+1 | 60644 60674 | -1.77 | 0.00 | 0.00 | 0.21 | 0.02 | 0.13 | 0.25 | 1.30 | [1] | [2] | 0.00 | 78.9 | N/A | 0 | N | (3) |
| MIKES-Sr+1 | 60674 60704 | -2.12 | 0.00 | 0.00 | 0.10 | 0.02 | 0.13 | 0.17 | 1.30 | [1] | [2] | 0.00 | 86.8 | N/A | 0 | N | (3) |
| MIKES-Sr+1 | 60704 60734 | -2.20 | 0.00 | 0.01 | 0.08 | 0.02 | 0.13 | 0.15 | 1.30 | [1] | [2] | 0.00 | 85.8 | N/A | 0 | N | (3) |
| MIKES-Sr+1 | 60734 60764 | -2.03 | 0.00 | 0.00 | 0.05 | 0.02 | 0.13 | 0.14 | 1.30 | [1] | [2] | 0.00 | 91.7 | N/A | 0 | N | (3) |
| NIM5 | 61039 61069 | 0.44 | 0.36 | 0.68 | 0.10 | 0.01 | 0.13 | 0.79 | PFS/NA | T340 | 1.40 | 88.8 | T456 | 26 | Y | (4) | |
| NIM6 | 61039 61069 | -0.13 | 0.23 | 0.24 | 0.10 | 0.01 | 0.13 | 0.37 | PFS/NA | T454 | 0.22 | 97.2 | T456 | 16 | Y | (4) | |
| NRC-FCs2 | 61039 61069 | -0.53 | 0.13 | 0.10 | 0.12 | 0.00 | 0.13 | 0.24 | PFS/NA | T448 | 0.11 | 90.4 | T456 | 36 | Y | (5) | |
| NTSC-CsF2 | 61044 61069 | 0.45 | 0.50 | 0.52 | 0.10 | 0.00 | 0.31 | 0.79 | PFS/NA | T435 | 0.43 | 93.0 | T456 | 39 | Y | (6) | |
| NTSC-Sr2 | 60764 60794 | 0.17 | 0.00 | 0.05 | 0.25 | 0.02 | 0.13 | 0.29 | 0.19 | [1] | [3] | 0.00 | 42.0 | N/A | 0 | Y | (6) |
| NTSC-Sr2 | 60794 60824 | -0.41 | 0.00 | 0.05 | 0.30 | 0.02 | 0.13 | 0.33 | 0.19 | [1] | [3] | 0.00 | 35.0 | N/A | 0 | Y | (6) |
| NTSC-Sr2 | 60824 60854 | -0.47 | 0.00 | 0.05 | 0.17 | 0.02 | 0.13 | 0.22 | 0.19 | [1] | [3] | 0.00 | 62.0 | N/A | 0 | Y | (6) |
| NTSC-Sr2 | 60854 60884 | 0.18 | 0.00 | 0.05 | 0.38 | 0.02 | 0.21 | 0.44 | 0.19 | [1] | [3] | 0.00 | 18.0 | N/A | 0 | Y | (6) |
| NTSC-Sr2 | 60884 60914 | -0.11 | 0.00 | 0.05 | 0.26 | 0.02 | 0.26 | 0.37 | 0.19 | [1] | [3] | 0.00 | 36.0 | N/A | 0 | Y | (6) |
| NTSC-Sr2 | 60914 60944 | -0.12 | 0.00 | 0.05 | 0.24 | 0.02 | 0.21 | 0.32 | 0.19 | [1] | [3] | 0.00 | 44.0 | N/A | 0 | Y | (6) |
| NTSC-Sr2 | 60944 60979 | -0.25 | 0.00 | 0.05 | 0.32 | 0.02 | 0.11 | 0.34 | 0.19 | [1] | [3] | 0.00 | 26.0 | N/A | 0 | Y | (6) |
| NTSC-Sr2 | 60979 61009 | -0.02 | 0.00 | 0.05 | 0.41 | 0.02 | 0.13 | 0.43 | 0.19 | [1] | [3] | 0.00 | 12.0 | N/A | 0 | Y | (6) |
| NTSC-Sr2 | 61009 61039 | 0.13 | 0.00 | 0.05 | 0.39 | 0.02 | 0.13 | 0.41 | 0.19 | [1] | [3] | 0.00 | 14.0 | N/A | 0 | Y | (6) |
| NTSC-Sr2 | 61044 61069 | -0.25 | 0.00 | 0.05 | 0.28 | 0.02 | 0.31 | 0.42 | 0.19 | [1] | [3] | 0.00 | 31.0 | N/A | 0 | Y | (6) |
| LNEOP-FO2 | 61039 61069 | -0.20 | 0.20 | 0.21 | 0.08 | 0.00 | 0.13 | 0.33 | PFS/NA | T301 | 0.23 | 80.7 | T456 | 32 | Y | (7) | |
| LNEOP-FORb | 61039 61069 | 0.31 | 0.20 | 0.24 | 0.07 | 0.00 | 0.13 | 0.35 | 0.34 | [1] | T328 | 0.34 | 80.6 | T455 | 32 | Y | (7) |
| LNEOP-SrB | 61004 61029 | -0.24 | 0.00 | 0.05 | 0.14 | 0.00 | 0.15 | 0.21 | 0.19 | [1] | T350 | 0.05 | 48.3 | T455 | 8 | Y | (7) |
| LNEOP-SrB | 61039 61069 | -0.15 | 0.00 | 0.05 | 0.10 | 0.00 | 0.13 | 0.17 | 0.19 | [1] | T350 | 0.05 | 69.3 | T455 | 8 | Y | (7) |
| PTB-CSF2 | 61039 61069 | -0.22 | 0.13 | 0.17 | 0.01 | 0.00 | 0.13 | 0.25 | PFS/NA | T370 | 0.17 | 97.8 | T456 | 40 | Y | (8) | |
| SU-CsFO2 | 61039 61069 | 0.26 | 0.15 | 0.22 | 0.12 | 0.00 | 0.13 | 0.32 | PFS/NA | T315 | 0.50 | 68.7 | T456 | 36 | Y | (9) |
| Period of estimation | d | u | |
| 61039-61069 | -0.16x10-15 | 0.10x10-15 | (2025 DEC 30 - 2026 JAN 29) |
4 - Relations of UTC with predictions of UTC broadcast by GNSS.
| DATE 0h UTC | MJD | UTC-bUTC_GNSS /ns | |||
| GPS | GLO | GAL | BDS | ||
| 2025-12-30 | 61039 | 0.6 | -3.7 | -1.7 | -2.6 |
| 2025-12-31 | 61040 | -1.8 | -5.5 | -1.9 | -2.0 |
| 2026-01-01 | 61041 | -0.5 | -7.2 | -2.3 | -1.8 |
| 2026-01-02 | 61042 | 2.0 | -6.5 | -2.5 | -2.3 |
| 2026-01-03 | 61043 | -1.0 | -6.3 | -2.8 | -1.7 |
| 2026-01-04 | 61044 | -0.6 | -6.8 | -2.1 | -1.6 |
| 2026-01-05 | 61045 | 0.3 | -6.7 | -1.9 | -2.6 |
| 2026-01-06 | 61046 | -1.1 | -4.7 | -1.5 | -1.8 |
| 2026-01-07 | 61047 | -1.7 | -4.5 | -1.1 | -1.7 |
| 2026-01-08 | 61048 | -0.3 | -3.5 | -0.9 | -2.0 |
| 2026-01-09 | 61049 | -1.1 | -2.4 | -1.0 | -1.8 |
| 2026-01-10 | 61050 | -1.7 | -2.4 | -1.8 | -3.3 |
| 2026-01-11 | 61051 | -2.2 | -2.3 | -1.8 | -1.0 |
| 2026-01-12 | 61052 | -2.0 | -5.1 | -1.5 | -0.6 |
| 2026-01-13 | 61053 | -1.3 | -1.7 | -1.5 | -1.4 |
| 2026-01-14 | 61054 | -0.4 | -0.3 | -1.5 | -1.9 |
| 2026-01-15 | 61055 | -0.4 | 2.1 | -1.4 | -1.8 |
| 2026-01-16 | 61056 | -0.8 | 1.8 | -1.2 | -2.1 |
| 2026-01-17 | 61057 | -0.0 | 2.4 | -1.0 | -1.3 |
| 2026-01-18 | 61058 | 2.9 | 3.1 | -0.9 | -1.5 |
| 2026-01-19 | 61059 | -1.4 | 2.5 | 0.2 | -1.5 |
| 2026-01-20 | 61060 | 0.0 | 2.6 | -0.6 | -0.4 |
| 2026-01-21 | 61061 | 2.7 | 0.8 | 0.2 | -0.7 |
| 2026-01-22 | 61062 | 0.4 | 1.2 | -0.0 | -1.1 |
| 2026-01-23 | 61063 | 0.5 | 1.6 | -1.1 | -2.2 |
| 2026-01-24 | 61064 | 1.2 | 0.2 | -1.1 | -2.5 |
| 2026-01-25 | 61065 | 0.6 | 0.6 | -0.7 | -1.4 |
| 2026-01-26 | 61066 | 0.6 | 0.3 | 0.1 | -0.8 |
| 2026-01-27 | 61067 | 2.0 | -1.0 | 0.2 | -0.9 |
| 2026-01-28 | 61068 | 3.0 | 4.8 | 0.8 | -0.9 |
| 2026-01-29 | 61069 | 1.6 | 0.0 | 2.8 | -0.6 |
5 - Time links used for the computation of TAI, calibrations information and corresponding uncertainties.
| Link | Type | Equipment | Cal_ID1 | / | Cal_ID2 | uStb/ns | uCal/ns | uAg/ns | Al/ns | YYMM |
| AGGO/PTB | GPS P3 | TC_2 /PT13 | 1014-2021 | / | 1001-2022 | 0.7 | 3.1 | 1.9 | ||
| AOS /PTB | GPSPPP | AO_5 /PT13 | 1012-2024 | / | 1001-2022 | 0.3 | 2.8 | 1.3 | ||
| APL /PTB | GPSPPP | AP04 /PT13 | NC | / | 1001-2022 | 0.3 | NC | |||
| AUS /PTB | GPSPPP | AU04 /PT13 | 1015-2021 | / | 1001-2022 | 0.3 | 3.1 | 1.9 | ||
| AZ /PTB | GPSPPP | AZ01 /PT13 | 2002-2024 | / | 1001-2022 | 0.3 | 7.1 | 1.3 | ||
| BEV /PTB | GPSPPP | BE1_ /PT13 | 1016-2021 | / | 1001-2022 | 0.3 | 3.1 | 1.9 | ||
| BFKH/PTB | GPS MC | MK01 /PT13 | NA_Al | / | 1001-2022 | 1.5 | 7.3 | 1.7 | -193.2 | 2406 |
| BIM /PTB | GPSPPP | BM51 /PT13 | 1016-2023 | / | 1001-2022 | 0.3 | 2.8 | 1.3 | ||
| BIRM/PTB | GPSPPP | BI41 /PT13 | 1016-2018 | / | 1001-2022 | 0.5 | 3.6 | 2.6 | ||
| BSJ /PTB | GPS MC | JM__ /PT13 | 2001-2024 | / | 1001-2022 | 7.0 | 7.1 | 1.3 | ||
| BY /PTB | GPS MC | BY46 /PT13 | 1020-2021 | / | 1001-2022 | 1.5 | 3.3 | 1.9 | ||
| CAO /PTB | NL | |||||||||
| CNES/PTB | GPSPPP | CS24 /PT13 | 1011-2025 | / | 1001-2022 | 0.3 | 2.8 | 1.3 | ||
| CNM /PTB | GPS MC | CN00 /PT13 | NA_Al | / | 1001-2022 | 3.0 | 4.5 | 3.1 | -27.3 | 0804 |
| CNMP/PTB | GPSPPP | MP1_ /PT13 | 1011-2017 | / | 1001-2022 | 0.3 | 5.6 | 3.1 | ||
| DFM /PTB | GPSPPP | DK01 /PT13 | 1017-2022 | / | 1001-2022 | 0.3 | 2.9 | 1.5 | ||
| DFNT/PTB | GPS P3 | DN__ /PT13 | 1015-2024 | / | 1001-2022 | 0.7 | 2.8 | 1.3 | ||
| DLR /PTB | GPSPPP | DL11 /PT13 | 1016-2024 | / | 1001-2022 | 0.3 | 2.8 | 1.3 | ||
| DMDM/PTB | GPSPPP | ZM01 /PT13 | 2002-2018 | / | 1001-2022 | 0.3 | 7.5 | 2.7 | ||
| DTAG/PTB | GPSPPP | DT05 /PT13 | 1016-2024 | / | 1001-2022 | 0.3 | 2.8 | 1.3 | ||
| ESA /PTB | GPSPPP | ES07 /PT13 | 1017-2024 | / | 1001-2022 | 0.3 | 2.8 | 1.3 | ||
| HKO /PTB | GPSPPP | HKO1 /PT13 | 1011-2018 | / | 1001-2022 | 0.3 | 3.8 | 2.9 | ||
| IBM /PTB | GPS MC | BO__ /PT13 | 2005-2016 | / | 1001-2022 | 4.0 | 7.7 | 3.2 | ||
| ICE /PTB | GPSPPP | CE__ /PT13 | 2001-2023 | / | 1001-2022 | 0.3 | 7.1 | 1.4 | ||
| IDN /PTB | GPSPPP | KI03 /PT13 | NC | / | 1001-2022 | 0.4 | NC | |||
| IFAG/PTB | GPSPPP | IF20 /PT13 | 1016-2024 | / | 1001-2022 | 0.3 | 2.8 | 1.3 | ||
| IFZG/PTB | GPSPPP | HR01 /PT13 | 1016-2023 | / | 1001-2022 | 0.3 | 2.8 | 1.3 | ||
| IMBH/PTB | GPSPPP | BH02 /PT13 | 1013-2022 | / | 1001-2022 | 0.3 | 3.0 | 1.7 | ||
| INCP/PTB | GPS MC | CP__ /PT13 | 1012-2023 | / | 1001-2022 | 5.0 | 4.1 | 1.3 | ||
| INM /PTB | GPS MC | IC__ /PT13 | 1012-2023 | / | 1001-2022 | 3.0 | 4.1 | 1.3 | ||
| INPL/PTB | GPSPPP | IL06 /PT13 | 2003-2016 | / | 1001-2022 | 0.3 | 7.7 | 3.2 | ||
| INTI/PTB | GPSPPP | INTI /PT13 | 1014-2021 | / | 1001-2022 | 0.3 | 3.4 | 1.7 | ||
| INXE/PTB | GPS P3 | NXRA /PT13 | 1012-2020 | / | 1001-2022 | 0.7 | 3.4 | 2.4 | ||
| IPQ /PTB | GPS P3 | IP05 /PT13 | 1017-2021 | / | 1001-2022 | 0.7 | 3.2 | 2.0 | ||
| JATC/PTB | GPSPPP | JA02 /PT13 | 1201-2018 | / | 1001-2022 | 0.4 | 3.8 | 2.8 | ||
| JV /PTB | GPSPPP | JV02 /PT13 | 1101-2017 | / | 1001-2022 | 0.3 | 5.0 | 2.9 | ||
| KRIS/PTB | GPSPPP | KRP1 /PT13 | 1015-2021 | / | 1001-2022 | 0.3 | 3.1 | 1.9 | ||
| KZ /PTB | GPS P3 | KZ04 /PT13 | 1202-2021 | / | 1001-2022 | 0.7 | 4.4 | 1.8 | ||
| LRTE/PTB | GPS P3 | LRR2 /PT13 | 1201-2025 | / | 1001-2022 | 0.7 | 3.7 | 1.3 | ||
| LT /PTB | GPSPPP | LT03 /PT13 | 1020-2023 | / | 1001-2022 | 0.3 | 2.8 | 1.3 | ||
| LUX /PTB | GPSPPP | LU01 /PT13 | 1011-2025 | / | 1001-2022 | 0.5 | 2.8 | 1.3 | ||
| MASM | NL | |||||||||
| MBM /PTB | GPSPPP | ME01 /PT13 | 1021-2021 | / | 1001-2022 | 0.3 | 3.0 | 1.7 | ||
| MIKE/PTB | GPSPPP | MI04 /PT13 | 1019-2023 | / | 1001-2022 | 0.3 | 2.8 | 1.3 | ||
| MSL /PTB | GPS P3 | MS01 /PT13 | 1015-2021 | / | 1001-2022 | 0.7 | 3.1 | 1.8 | ||
| MTC /PTB | GPS MC | MC02 /PT13 | 2001-2013 | / | 1001-2022 | 4.0 | 68.0 | 67.7 | ||
| NAO /PTB | GPS MC | NAT2 /PT13 | 1012-2022 | / | 1001-2022 | 2.0 | 3.9 | 1.8 | ||
| NICT/PTB | GPSPPP | NC5S /PT13 | 1001-2022 | / | 1001-2022 | 0.3 | 2.1 | 1.5 | ||
| NIM /PTB | GPSPPP | IM02 /PT13 | 1001-2022 | / | 1001-2022 | 0.3 | 2.1 | 1.5 | ||
| NIMB | NL | |||||||||
| NIMT/PTB | GPSPPP | MTTN /PT13 | 1016-2022 | / | 1001-2022 | 0.3 | 3.1 | 1.5 | ||
| NIS /PTB | GPS P3 | IS_5 /PT13 | 2001-2021 | / | 1001-2022 | 0.7 | 7.3 | 2.0 | ||
| NMIJ/PTB | GPSPPP | NM0F /PT13 | 1015-2022 | / | 1001-2022 | 0.3 | 3.0 | 1.7 | ||
| NMLS/PTB | GPSPPP | LSM2 /PT13 | 1011-2023 | / | 1001-2022 | 0.3 | 2.8 | 1.4 | ||
| NPLI/PTB | GPSPPP | LIAA /PT13 | 1011-2024 | / | 1001-2022 | 0.3 | 2.8 | 1.3 | ||
| NRC /PTB | GPSPPP | NRCC /PT13 | 1015-2023 | / | 1001-2022 | 0.3 | 2.8 | 1.3 | ||
| NRL /PTB | NL | |||||||||
| NSAI/PTB | GPSPPP | IE01 /PT13 | 2022-2019 | / | 1001-2022 | 0.3 | 7.4 | 2.5 | ||
| NTSC/PTB | GPSPPP | NT03 /PT13 | 1016-2018 | / | 1001-2022 | 0.5 | 3.7 | 2.7 | ||
| ONBA/PTB | GPS MC | ON__ /PT13 | 1014-2021 | / | 1001-2022 | 2.0 | 3.4 | 1.8 | ||
| ONRJ/PTB | GPSPPP | RJ04 /PT13 | 1012-2020 | / | 1001-2022 | 0.3 | 3.4 | 2.3 | ||
| ORB /PTB | GPSPPP | OR5Z /PT13 | 1017-2023 | / | 1001-2022 | 0.3 | 2.8 | 1.3 | ||
| PL /PTB | GPSPPP | PL_5 /PT13 | 1012-2024 | / | 1001-2022 | 0.3 | 2.8 | 1.3 | ||
| SASO/PTB | GPSPPP | SAS0 /PT13 | 1020-2017 | / | 1001-2022 | 0.3 | 3.9 | 3.0 | ||
| SCL /PTB | GPSPPP | SC05 /PT13 | 1011-2018 | / | 1001-2022 | 0.3 | 3.8 | 2.9 | ||
| SG /PTB | GPSPPP | SG02 /PT13 | 1018-2023 | / | 1001-2022 | 0.3 | 2.8 | 1.3 | ||
| SIQ /PTB | GPSPPP | SI01 /PT13 | 1013-2019 | / | 1001-2022 | 0.3 | 4.2 | 2.4 | ||
| SMD /PTB | GPSPPP | SD31 /PT13 | 1201-2020 | / | 1001-2022 | 0.3 | 4.6 | 2.2 | ||
| SMU /PTB | GPS MC | SM00 /PT13 | 1202-2024 | / | 1001-2022 | 1.5 | 6.2 | 1.3 | ||
| TL /PTB | GPSPPP | TLT5 /PT13 | 1001-2022 | / | 1001-2022 | 0.3 | 2.0 | 1.4 | ||
| TP /PTB | GPSPPP | TP02 /PT13 | 1013-2021 | / | 1001-2022 | 0.3 | 3.2 | 2.0 | ||
| UA /PTB | GPS MC | UA05 /PT13 | 2003-2018 | / | 1001-2022 | 3.0 | 7.5 | 2.8 | ||
| UAE /PTB | GPSPPP | AE02 /PT13 | 2001-2025 | / | 1001-2022 | 0.3 | 7.1 | 1.3 | ||
| UME /PTB | GPSPPP | UM01 /PT13 | 1011-2016 | / | 1001-2022 | 0.3 | 4.2 | 3.3 | ||
| UZ /PTB | GPSPPP | UZ__ /PT13 | 1013-2025 | / | 1001-2022 | 0.3 | 2.8 | 1.3 | ||
| VMI /PTB | GPS P3 | VM12 /PT13 | 1011-2022 | / | 1001-2022 | 0.7 | 3.0 | 1.7 | ||
| ZA /PTB | GPS P3 | ZA02 /PT13 | 1018-2018 | / | 1001-2022 | 20.0 | 3.7 | 2.7 | ||
| Link | Type | Equipment | Cal_ID | uStb/ns | uCal/ns | uAg/ns | Al/ns | YYMM | ||
| CH /PTB | TWGPPP | CH01 /PTB05 | 0623-2024 | 0.3 | 1.2 | 0.6 | ||||
| IT /PTB | TWGPPP | IT01 /PTB05 | 0622-2024 | 0.3 | 1.2 | 0.6 | ||||
| NIST/PTB | TWGPPP | NIST01/PTB05 | 0593-2024 | 0.3 | 2.0 | 0.3 | ||||
| NPL /PTB | TWGPPP | NPL02 /PTB05 | 0620-2024 | 0.3 | 1.2 | 0.6 | ||||
| OP /PTB | TWSDRR | OP51 /PTB55 | 0624-2024 | 0.3 | 1.2 | 0.6 | ||||
| ROA /PTB | TWGPPP | ROA01 /PTB05 | 0618-2024 | 0.3 | 1.2 | 0.6 | ||||
| SP /PTB | TWGPPP | SP01 /PTB05 | 0621-2024 | 0.3 | 1.2 | 0.6 | ||||
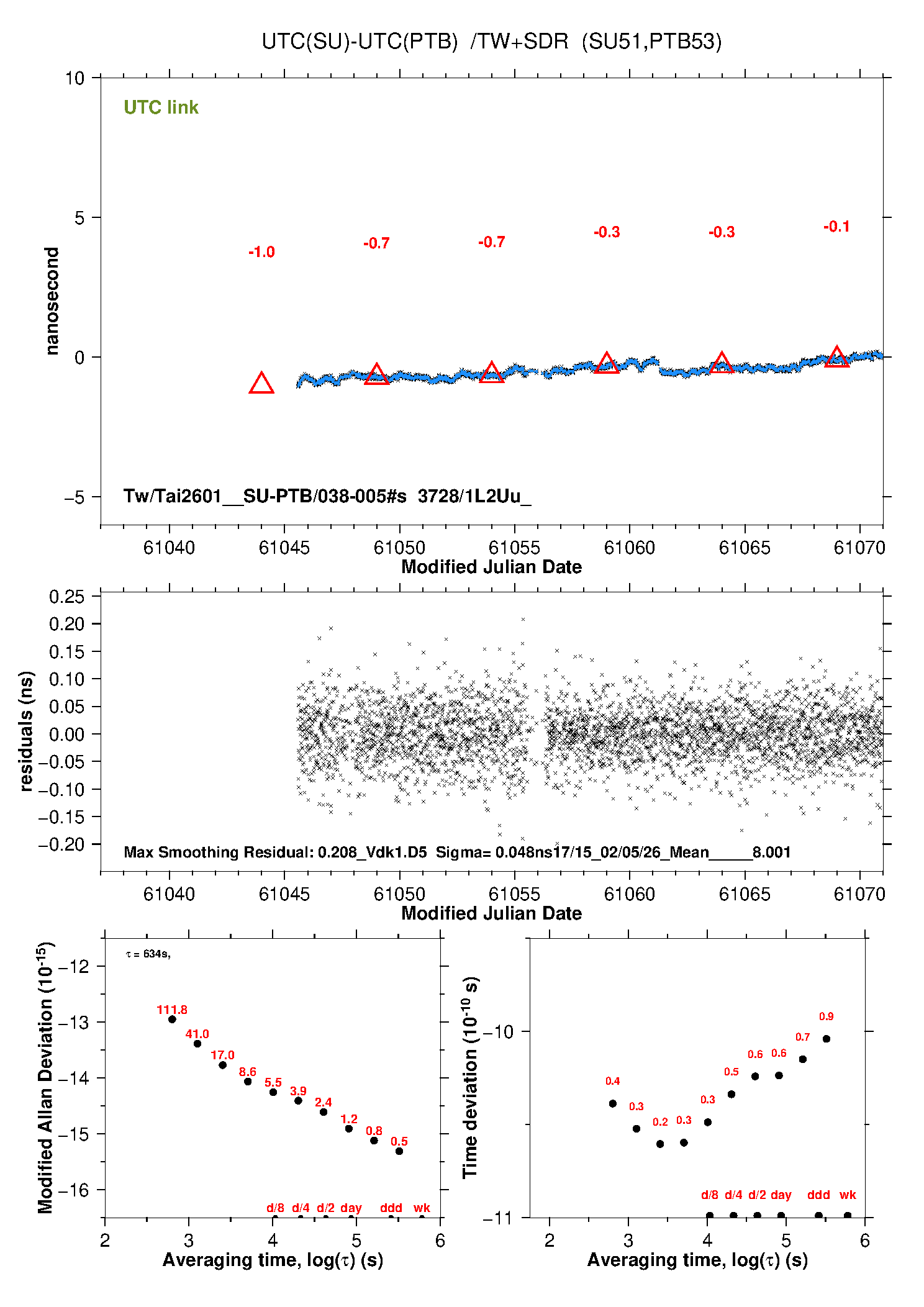
| SU /PTB | TWSDRR | SU51 /PTB53 | NA_Al | / | 1001-2022 | 0.3 | 2.5 | 1.7 | -8.5 | 2506 |
| USNO/PTB | TWGPPP | USNO01/PTB05 | 0534-2021 | 0.3 | 2.4 | 2.2 | ||||
| VSL /PTB | TWGPPP | VSL01 /PTB05 | 0616-2024 | 0.3 | 1.3 | 0.6 |